Laatste update :
27/01/2026
Diverse   Cholic acid  
Capsule
Stabiliteit van farmaceutische preparaten Stabiliteit in mengsels Factoren die de stabiliteit beïnvloeden Verenigbaarheden Literatuur pdf
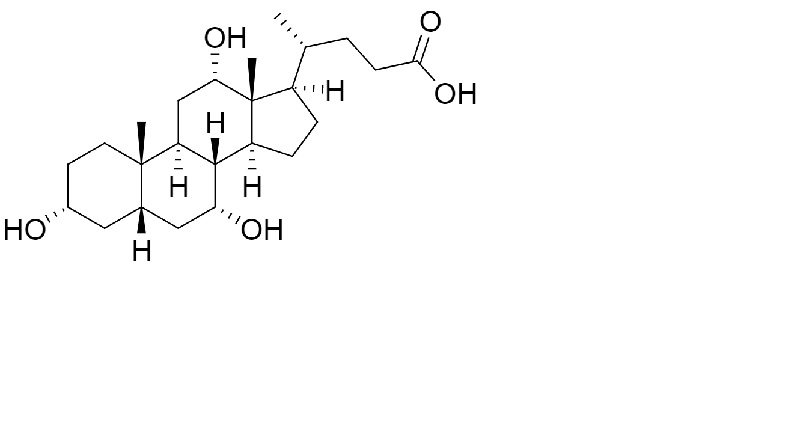
   Molecuulstructuur  

Capsule
Verenigbaarheden   Capsule   Verenigbaarheden : Cholic acid              
geen gegevens

  Mentions Légales