Última actualización :
27/01/2026
Infostab
Lista de la molécula
Listas recapitulativas
Búsqueda de compatibilidades
Tabla de compatibilidad en Y
Bibliografía
Los equipos de investigación
valistab
póster
Vínculos
patrocinadores
Autores
Manual de instruciones
Boletín de noticias
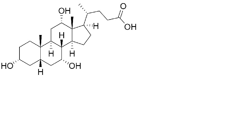
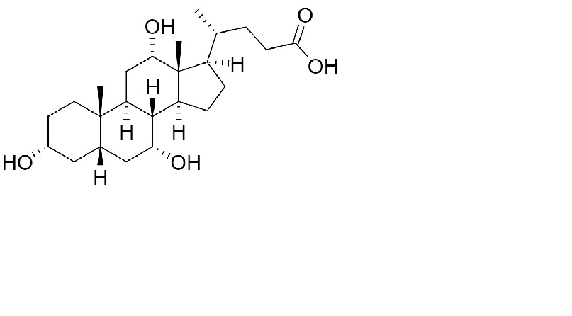
Cholic acid
Estructura química
Compatibilidades : Cholic acid
Ausencia de datos
Mentions Légales