آخر تحديث :
27/01/2026
مختلف   Cholic acid  
كبسولة
استقرار المستحضرات الصيدلانية استقرار مخاليط العوامل التي تؤثر على الاستقرار التوافق مراجع pdf
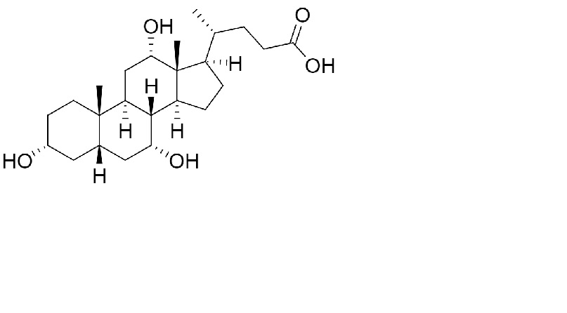
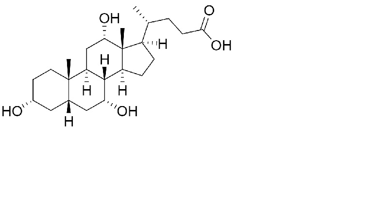
   التركيب الكيميائي  

كبسولة
التوافق   كبسولة   التوافق : Cholic acid              
لا توجد بيانات

  Mentions Légales