Seneste opdatering :
27/01/2026
Diverse   Cholic acid  
Kapsel
Stabilitet af farmaceutiske tilberedninger Stabilitet i blandinger Faktorer der påvirker stabiliteten Kompatibilitet Bibliografi pdf
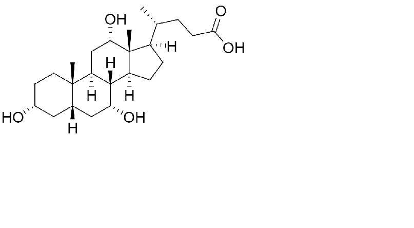
   Kemisk struktur  

Kapsel
Kompatibilitet   Kapsel   Kompatibilitet : Cholic acid              
Ingen data

  Mentions Légales