Utolsó frissítés :
27/01/2026
Különféle   Cholic acid  
kapszula
Stabilitása gyógyszerészeti készítmények A keverékek stabilitása Stabilitást befolyásoló tényezők Kompatibilitás Irodalom pdf
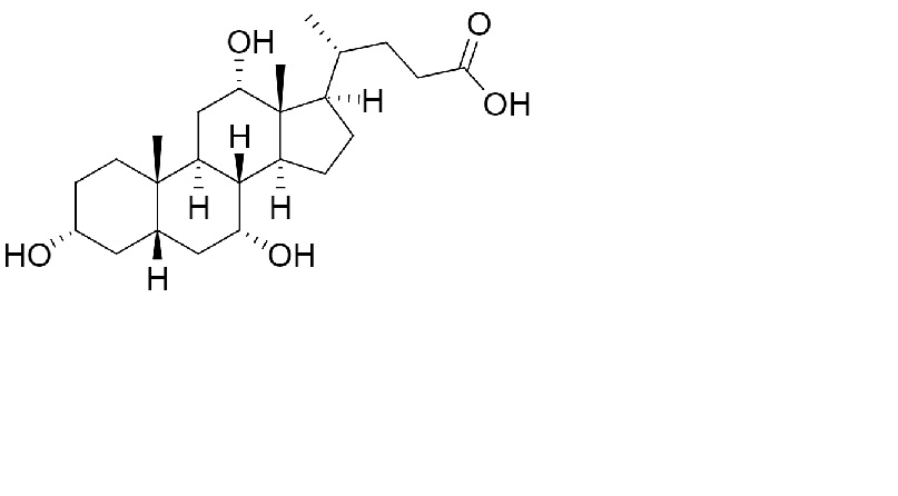
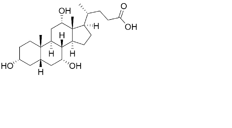
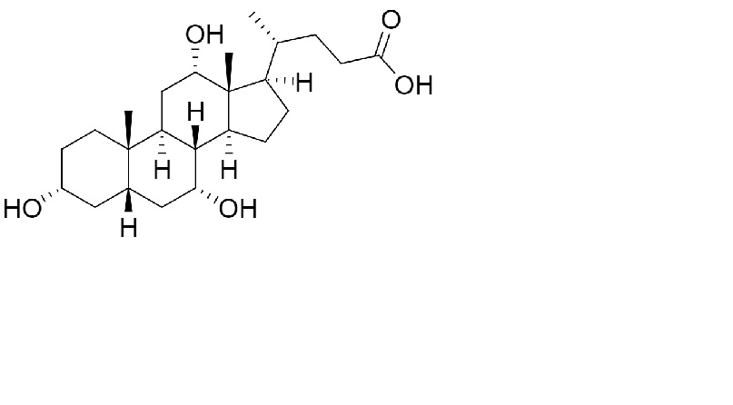
   Kémiai szerkezet   

kapszula
Kompatibilitás   kapszula   Kompatibilitás : Cholic acid              
Hiányzó adat

  Mentions Légales