Ostatnia aktualizacja :
27/01/2026
Różne   Cholic acid  
Kapsułka
Stabilność preparatów farmaceutycznych Trwałość w mieszaninie Czynnik wpływający na trwałość Zgodność Bibliografia pdf
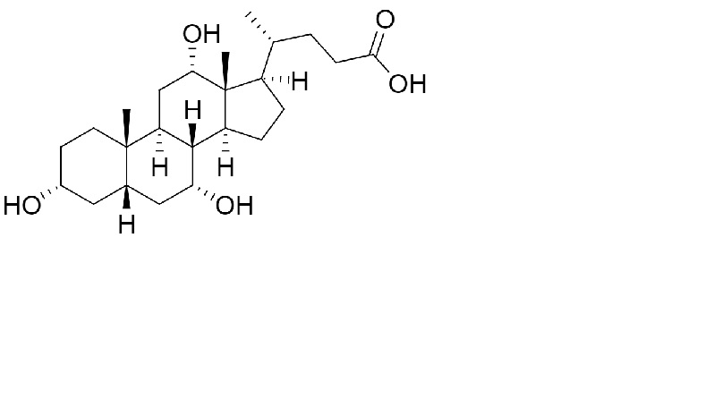
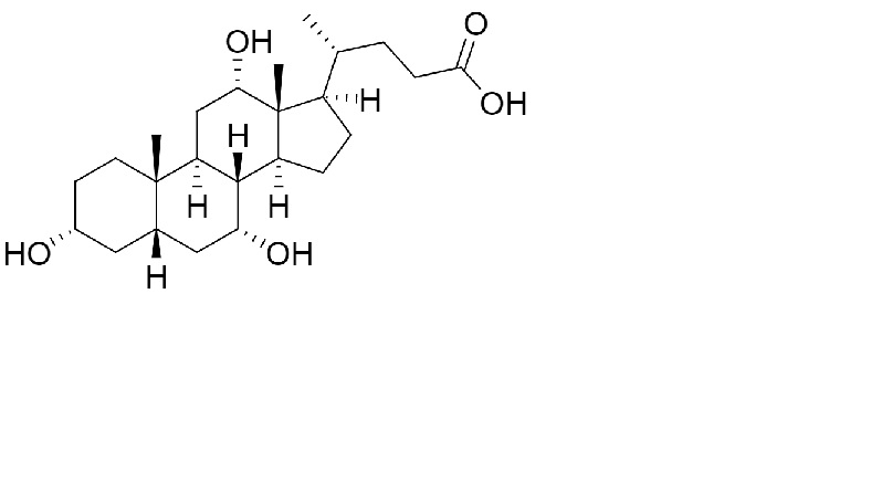
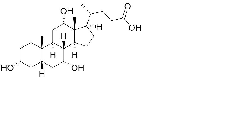
   Struktura chemiczna  

Kapsułka
Zgodność   Kapsułka   Zgodność : Cholic acid              
Brak danych

  Mentions Légales