viimane versioon :
27/01/2026
mitmesugune   Cholic acid  
kapsel
Stabiilsust ravimpreparaadid Stabiilsust mõjutavad tegurid stabiilsust mõjutavad faktorid Sobimatus Viited pdf
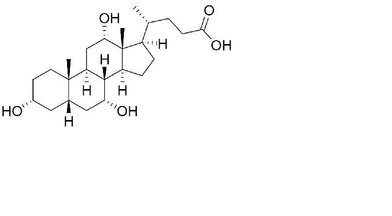
   keemiline struktuur  

kapsel
Sobimatus   kapsel   Sobimatus : Cholic acid              
andmed puuduvad

  Mentions Légales