Letztes “update” :
27/01/2026
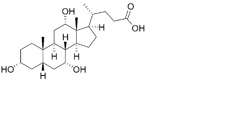
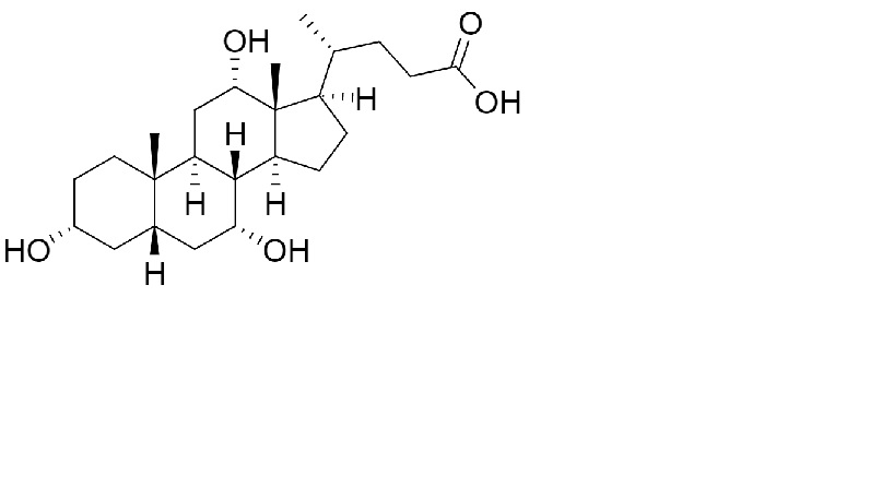
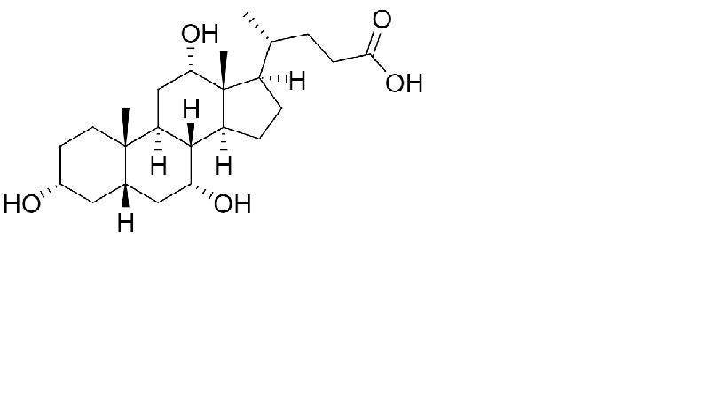
Verschiedenes   Cholic acid  
Kapsel (Singular !)
Stabilität von pharmazeutischen Präparaten Gemengestabilität Stabilitätbeeinflussende Faktoren Kompatibilitäten Literaturverzeichnis pdf
   Chemische Struktur  

Kapsel (Singular !)
Kompatibilitäten   Kapsel (Singular !)   Kompatibilitäten : Cholic acid              
Keine Daten

  Mentions Légales