Son güncelleme :
21/01/2026
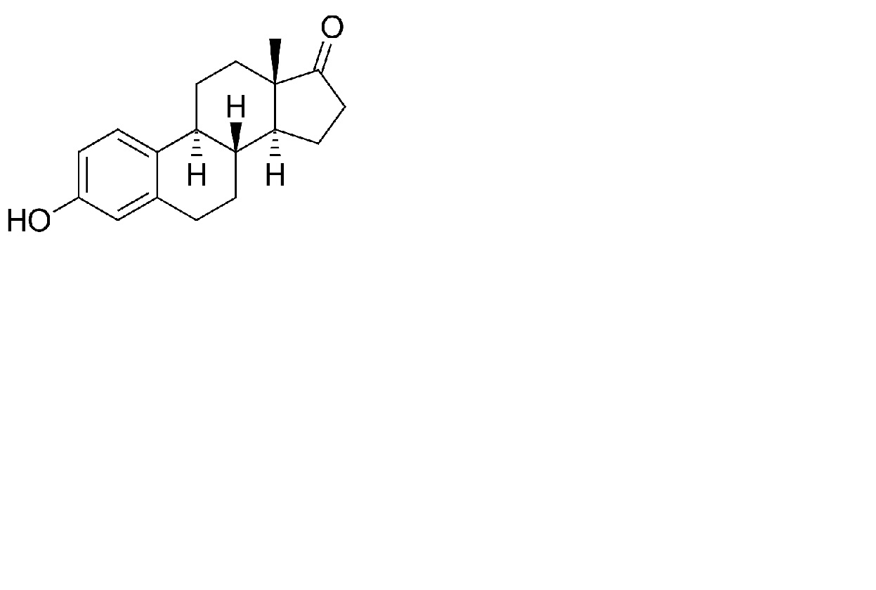
Hormon   Estrone  
Merhem
Farmasötik preparatlar Kararlılığı Karışımlardaki stabilitesi Stabiliteyi etkileyen faktörler Uyumluluk Kaynaklar pdf
   Kimyasal yapı   

Merhem
Karışımlardaki stabilitesi   Merhem   Karışımlardaki stabilitesi : Estrone     
Saklama kabı yardımcı madde Bileşik Isı Saklama    Stabilite süresi Kaynaklar
Cam
Transcutol® 10 g
Versatile® >> 100 g
Merhem   Estrone Toz1 g  ® = ?
Merhem   Estriol Toz2 g  ® = ?
Merhem   Estradiol Toz1 g  ® = ?
Merhem   Progestérone Toz20 g  ® = ?
Merhem   Testostérone Toz5 g  ® = ?
2-8°C
180 Gün
Işıktan koruyunuz 4598
Cam
Transcutol® 10 g
Fitalite® >> 100 g
Merhem   Estrone Toz1 g  ® = ?
Merhem   Estriol Toz2 g  ® = ?
Merhem   Estradiol Toz1 g  ® = ?
Merhem   Progestérone Toz20 g  ® = ?
Merhem   Testostérone Toz5 g  ® = ?
2-8°C
180 Gün
Işıktan koruyunuz 4598
Cam
Transcutol® 10 g
HRT Supreme® >> 100 g
Merhem   Estrone Toz1 g  ® = ?
Merhem   Estriol Toz2 g  ® = ?
Merhem   Estradiol Toz1 g  ® = ?
Merhem   Progestérone Toz20 g  ® = ?
Merhem   Testostérone Toz5 g  ® = ?
2-8°C
180 Gün
Işıktan koruyunuz 4598
Cam
Transcutol® 10 g
Versatile® >> 100 g
Merhem   Estrone Toz1 g  ® = ?
Merhem   Estriol Toz2 g  ® = ?
Merhem   Estradiol Toz1 g  ® = ?
Merhem   Progestérone Toz20 g  ® = ?
Merhem   Testostérone Toz5 g  ® = ?
20-25°C
180 Gün
Işıktan koruyunuz 4598
Cam
Transcutol® 10 g
Fitalite® >> 100 g
Merhem   Estrone Toz1 g  ® = ?
Merhem   Estriol Toz2 g  ® = ?
Merhem   Estradiol Toz1 g  ® = ?
Merhem   Progestérone Toz20 g  ® = ?
Merhem   Testostérone Toz5 g  ® = ?
20-25°C
180 Gün
Işıktan koruyunuz 4598
Cam
Transcutol® 10 g
HRT Supreme® >> 100 g
Merhem   Estrone Toz1 g  ® = ?
Merhem   Estriol Toz2 g  ® = ?
Merhem   Estradiol Toz1 g  ® = ?
Merhem   Progestérone Toz20 g  ® = ?
Merhem   Testostérone Toz5 g  ® = ?
20-25°C
180 Gün
Işıktan koruyunuz 4598

  Mentions Légales