Letztes “update” :
27/04/2026
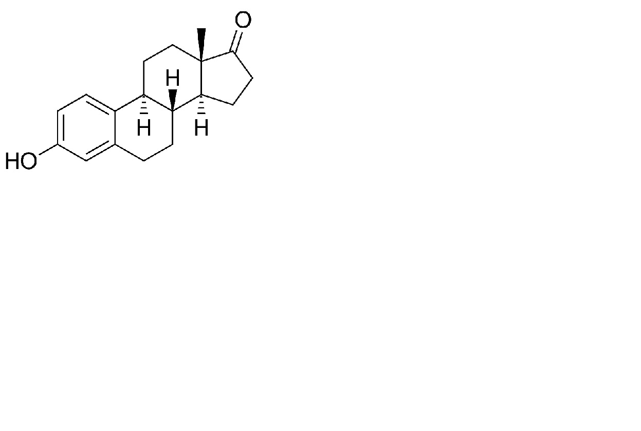
Hormon   Estrone  
Salben
Stabilität von pharmazeutischen Präparaten Gemengestabilität Stabilitätbeeinflussende Faktoren Kompatibilitäten Literaturverzeichnis pdf
   Chemische Struktur  

Salben
Gemengestabilität   Salben   Gemengestabilität : Estrone     
Behälter Hilfsstoff Molekül Temperatur Konservierung Dauer der Stabilität Literaturverzeichnis
Glas
Transcutol® 10 g
Versatile® >> 100 g
Salben   Estrone Pulver1 g  ® = ?
Salben   Estriol Pulver2 g  ® = ?
Salben   Estradiol Pulver1 g  ® = ?
Salben   Progestérone Pulver20 g  ® = ?
Salben   Testostérone Pulver5 g  ® = ?
2-8°C
180 Tag
Ohne Licht 4598
Glas
Transcutol® 10 g
Fitalite® >> 100 g
Salben   Estrone Pulver1 g  ® = ?
Salben   Estriol Pulver2 g  ® = ?
Salben   Estradiol Pulver1 g  ® = ?
Salben   Progestérone Pulver20 g  ® = ?
Salben   Testostérone Pulver5 g  ® = ?
2-8°C
180 Tag
Ohne Licht 4598
Glas
Transcutol® 10 g
HRT Supreme® >> 100 g
Salben   Estrone Pulver1 g  ® = ?
Salben   Estriol Pulver2 g  ® = ?
Salben   Estradiol Pulver1 g  ® = ?
Salben   Progestérone Pulver20 g  ® = ?
Salben   Testostérone Pulver5 g  ® = ?
2-8°C
180 Tag
Ohne Licht 4598
Glas
Transcutol® 10 g
Versatile® >> 100 g
Salben   Estrone Pulver1 g  ® = ?
Salben   Estriol Pulver2 g  ® = ?
Salben   Estradiol Pulver1 g  ® = ?
Salben   Progestérone Pulver20 g  ® = ?
Salben   Testostérone Pulver5 g  ® = ?
20-25°C
180 Tag
Ohne Licht 4598
Glas
Transcutol® 10 g
Fitalite® >> 100 g
Salben   Estrone Pulver1 g  ® = ?
Salben   Estriol Pulver2 g  ® = ?
Salben   Estradiol Pulver1 g  ® = ?
Salben   Progestérone Pulver20 g  ® = ?
Salben   Testostérone Pulver5 g  ® = ?
20-25°C
180 Tag
Ohne Licht 4598
Glas
Transcutol® 10 g
HRT Supreme® >> 100 g
Salben   Estrone Pulver1 g  ® = ?
Salben   Estriol Pulver2 g  ® = ?
Salben   Estradiol Pulver1 g  ® = ?
Salben   Progestérone Pulver20 g  ® = ?
Salben   Testostérone Pulver5 g  ® = ?
20-25°C
180 Tag
Ohne Licht 4598

  Mentions Légales