viimane versioon :
27/04/2026
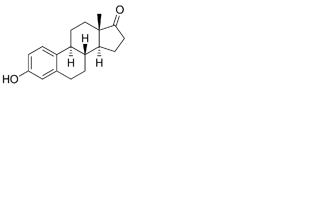
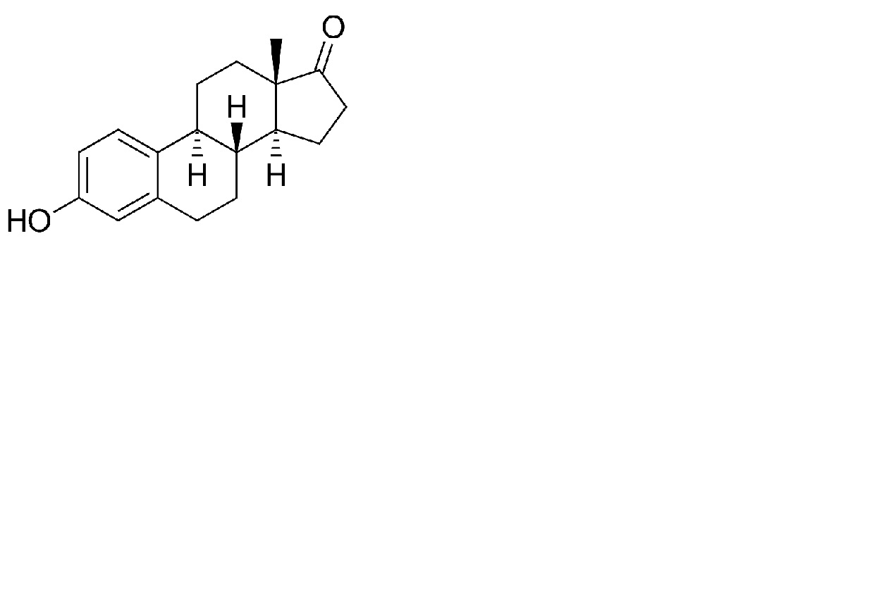
Hormoonasendusravi   Estrone  
salv
Stabiilsust ravimpreparaadid Stabiilsust mõjutavad tegurid stabiilsust mõjutavad faktorid Sobimatus Viited pdf
   keemiline struktuur  

salv
Stabiilsust mõjutavad tegurid   salv   Stabiilsust mõjutavad tegurid : Estrone     
konteiner  abiaine ingredient temperatuur ladustamine Stabiilsuse kestus Viited
klaas
Transcutol® 10 g
Versatile® >> 100 g
salv   Estrone pulber1 g  ® = ?
salv   Estriol pulber2 g  ® = ?
salv   Estradiol pulber1 g  ® = ?
salv   Progestérone pulber20 g  ® = ?
salv   Testostérone pulber5 g  ® = ?
2-8°C
180 päev
kaitsta valguse eest 4598
klaas
Transcutol® 10 g
Fitalite® >> 100 g
salv   Estrone pulber1 g  ® = ?
salv   Estriol pulber2 g  ® = ?
salv   Estradiol pulber1 g  ® = ?
salv   Progestérone pulber20 g  ® = ?
salv   Testostérone pulber5 g  ® = ?
2-8°C
180 päev
kaitsta valguse eest 4598
klaas
Transcutol® 10 g
HRT Supreme® >> 100 g
salv   Estrone pulber1 g  ® = ?
salv   Estriol pulber2 g  ® = ?
salv   Estradiol pulber1 g  ® = ?
salv   Progestérone pulber20 g  ® = ?
salv   Testostérone pulber5 g  ® = ?
2-8°C
180 päev
kaitsta valguse eest 4598
klaas
Transcutol® 10 g
Versatile® >> 100 g
salv   Estrone pulber1 g  ® = ?
salv   Estriol pulber2 g  ® = ?
salv   Estradiol pulber1 g  ® = ?
salv   Progestérone pulber20 g  ® = ?
salv   Testostérone pulber5 g  ® = ?
20-25°C
180 päev
kaitsta valguse eest 4598
klaas
Transcutol® 10 g
Fitalite® >> 100 g
salv   Estrone pulber1 g  ® = ?
salv   Estriol pulber2 g  ® = ?
salv   Estradiol pulber1 g  ® = ?
salv   Progestérone pulber20 g  ® = ?
salv   Testostérone pulber5 g  ® = ?
20-25°C
180 päev
kaitsta valguse eest 4598
klaas
Transcutol® 10 g
HRT Supreme® >> 100 g
salv   Estrone pulber1 g  ® = ?
salv   Estriol pulber2 g  ® = ?
salv   Estradiol pulber1 g  ® = ?
salv   Progestérone pulber20 g  ® = ?
salv   Testostérone pulber5 g  ® = ?
20-25°C
180 päev
kaitsta valguse eest 4598

  Mentions Légales