Τελευταία ενημέρωση :
27/04/2026
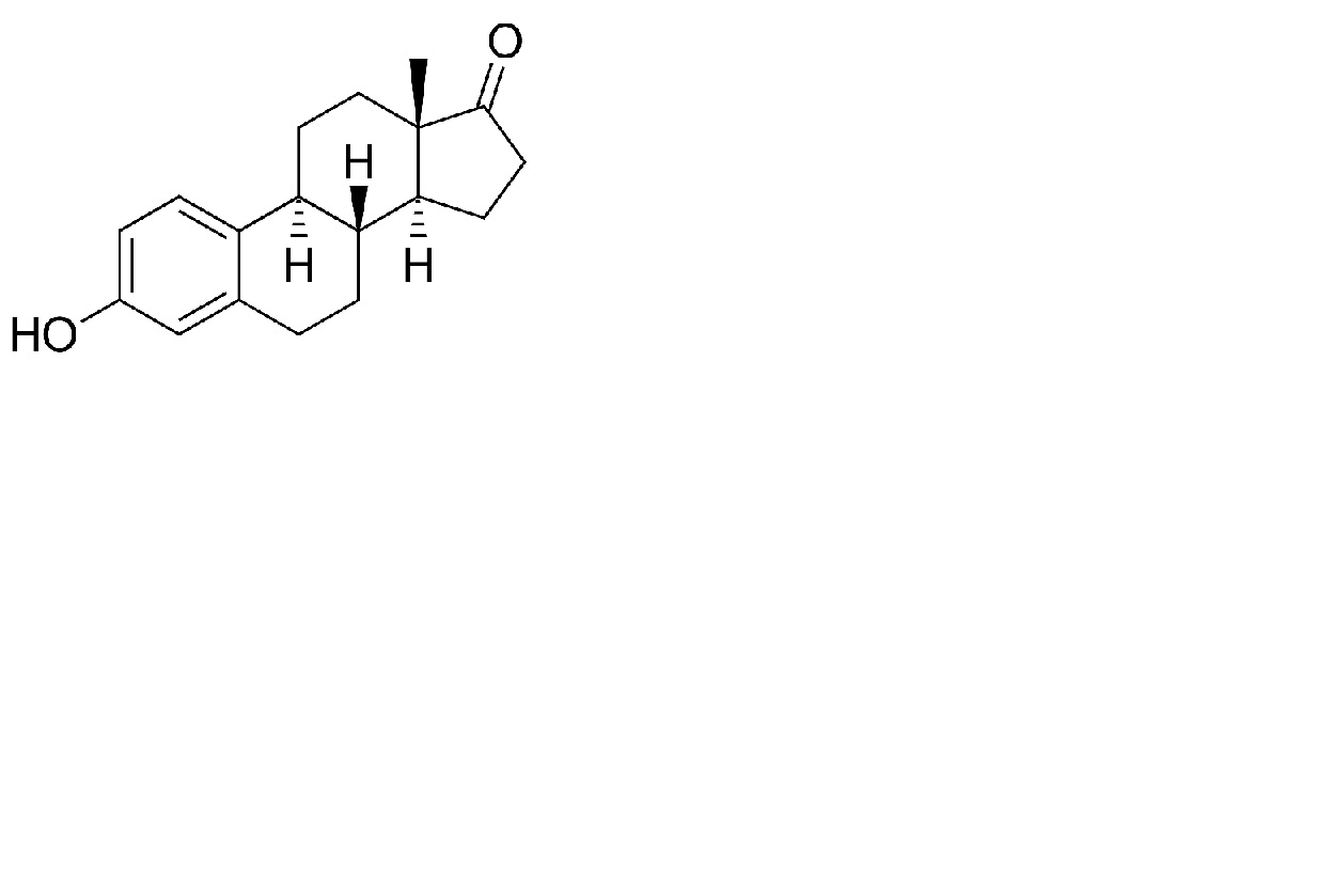
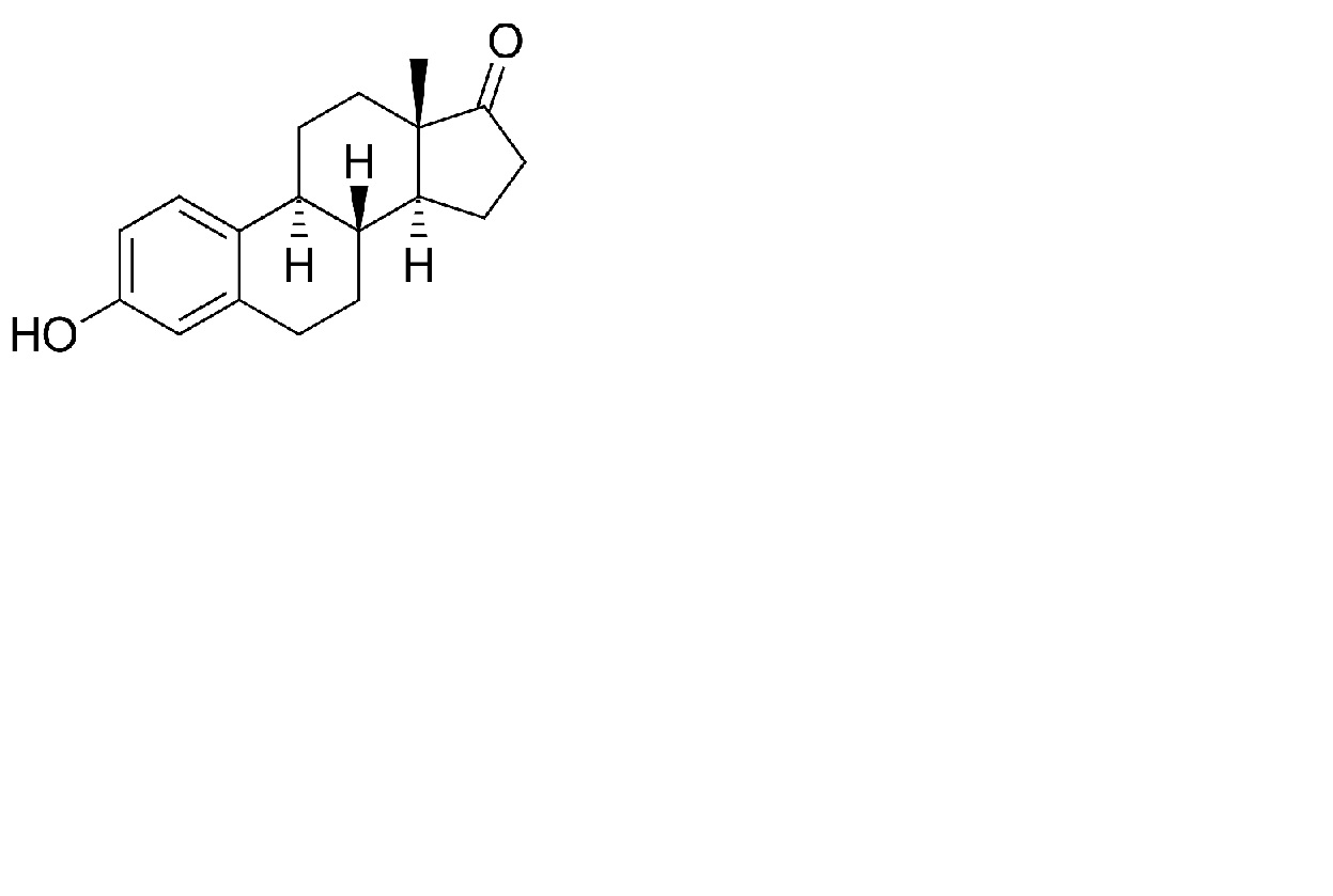
Ορμόνη   Estrone  
Αλοιφές
Σταθερότητα και συμβατότητα των φαρμάκων Σταθερότητα σε μίγματα Παράγοντας που επηρεάζει τη σταθερότητα Συμβατότητες Βιβλιογραφία pdf
   χημική δομή  

Αλοιφές
Σταθερότητα σε μίγματα   Αλοιφές   Σταθερότητα σε μίγματα : Estrone     
Υποδοχέας Έκδοχο Συστατικό Θερμοκρασία Αποθήκευση Διάρκεια σταθερότητας Βιβλιογραφία
Ύαλος
Transcutol® 10 g
Versatile® >> 100 g
Αλοιφές   Estrone Σκόνη1 g  ® = ?
Αλοιφές   Estriol Σκόνη2 g  ® = ?
Αλοιφές   Estradiol Σκόνη1 g  ® = ?
Αλοιφές   Progestérone Σκόνη20 g  ® = ?
Αλοιφές   Testostérone Σκόνη5 g  ® = ?
2-8°C
180 Ημέρα
Προστατεύετε από το φως 4598
Ύαλος
Transcutol® 10 g
Fitalite® >> 100 g
Αλοιφές   Estrone Σκόνη1 g  ® = ?
Αλοιφές   Estriol Σκόνη2 g  ® = ?
Αλοιφές   Estradiol Σκόνη1 g  ® = ?
Αλοιφές   Progestérone Σκόνη20 g  ® = ?
Αλοιφές   Testostérone Σκόνη5 g  ® = ?
2-8°C
180 Ημέρα
Προστατεύετε από το φως 4598
Ύαλος
Transcutol® 10 g
HRT Supreme® >> 100 g
Αλοιφές   Estrone Σκόνη1 g  ® = ?
Αλοιφές   Estriol Σκόνη2 g  ® = ?
Αλοιφές   Estradiol Σκόνη1 g  ® = ?
Αλοιφές   Progestérone Σκόνη20 g  ® = ?
Αλοιφές   Testostérone Σκόνη5 g  ® = ?
2-8°C
180 Ημέρα
Προστατεύετε από το φως 4598
Ύαλος
Transcutol® 10 g
Versatile® >> 100 g
Αλοιφές   Estrone Σκόνη1 g  ® = ?
Αλοιφές   Estriol Σκόνη2 g  ® = ?
Αλοιφές   Estradiol Σκόνη1 g  ® = ?
Αλοιφές   Progestérone Σκόνη20 g  ® = ?
Αλοιφές   Testostérone Σκόνη5 g  ® = ?
20-25°C
180 Ημέρα
Προστατεύετε από το φως 4598
Ύαλος
Transcutol® 10 g
Fitalite® >> 100 g
Αλοιφές   Estrone Σκόνη1 g  ® = ?
Αλοιφές   Estriol Σκόνη2 g  ® = ?
Αλοιφές   Estradiol Σκόνη1 g  ® = ?
Αλοιφές   Progestérone Σκόνη20 g  ® = ?
Αλοιφές   Testostérone Σκόνη5 g  ® = ?
20-25°C
180 Ημέρα
Προστατεύετε από το φως 4598
Ύαλος
Transcutol® 10 g
HRT Supreme® >> 100 g
Αλοιφές   Estrone Σκόνη1 g  ® = ?
Αλοιφές   Estriol Σκόνη2 g  ® = ?
Αλοιφές   Estradiol Σκόνη1 g  ® = ?
Αλοιφές   Progestérone Σκόνη20 g  ® = ?
Αλοιφές   Testostérone Σκόνη5 g  ® = ?
20-25°C
180 Ημέρα
Προστατεύετε από το φως 4598

  Mentions Légales