Poslední aktualizace :
27/04/2026
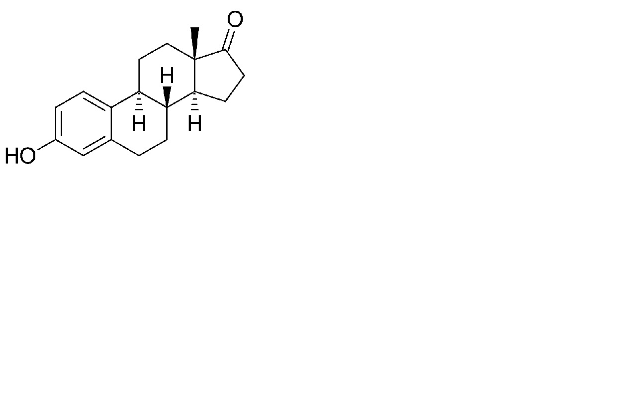
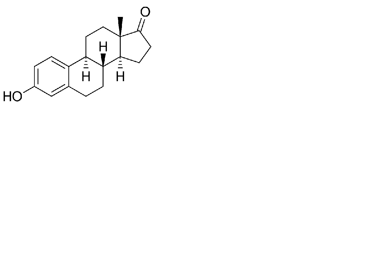
Hormon   Estrone  
Masti
Stabilita farmaceutických přípravků Stabilita směsí Faktory ovlivňující stabilitu Kompatibilita Odkazy pdf
   Chemický vzorec  

Masti
Stabilita směsí   Masti   Stabilita směsí : Estrone     
Obal Pomocné látky SlouËenina Teplota Uchovávání Trvání stability Odkazy
Sklo
Transcutol® 10 g
Versatile® >> 100 g
Masti   Estrone prášek1 g  ® = ?
Masti   Estriol prášek2 g  ® = ?
Masti   Estradiol prášek1 g  ® = ?
Masti   Progestérone prášek20 g  ® = ?
Masti   Testostérone prášek5 g  ® = ?
2-8°C
180 Den
Chráněno před světlem 4598
Sklo
Transcutol® 10 g
Fitalite® >> 100 g
Masti   Estrone prášek1 g  ® = ?
Masti   Estriol prášek2 g  ® = ?
Masti   Estradiol prášek1 g  ® = ?
Masti   Progestérone prášek20 g  ® = ?
Masti   Testostérone prášek5 g  ® = ?
2-8°C
180 Den
Chráněno před světlem 4598
Sklo
Transcutol® 10 g
HRT Supreme® >> 100 g
Masti   Estrone prášek1 g  ® = ?
Masti   Estriol prášek2 g  ® = ?
Masti   Estradiol prášek1 g  ® = ?
Masti   Progestérone prášek20 g  ® = ?
Masti   Testostérone prášek5 g  ® = ?
2-8°C
180 Den
Chráněno před světlem 4598
Sklo
Transcutol® 10 g
Versatile® >> 100 g
Masti   Estrone prášek1 g  ® = ?
Masti   Estriol prášek2 g  ® = ?
Masti   Estradiol prášek1 g  ® = ?
Masti   Progestérone prášek20 g  ® = ?
Masti   Testostérone prášek5 g  ® = ?
20-25°C
180 Den
Chráněno před světlem 4598
Sklo
Transcutol® 10 g
Fitalite® >> 100 g
Masti   Estrone prášek1 g  ® = ?
Masti   Estriol prášek2 g  ® = ?
Masti   Estradiol prášek1 g  ® = ?
Masti   Progestérone prášek20 g  ® = ?
Masti   Testostérone prášek5 g  ® = ?
20-25°C
180 Den
Chráněno před světlem 4598
Sklo
Transcutol® 10 g
HRT Supreme® >> 100 g
Masti   Estrone prášek1 g  ® = ?
Masti   Estriol prášek2 g  ® = ?
Masti   Estradiol prášek1 g  ® = ?
Masti   Progestérone prášek20 g  ® = ?
Masti   Testostérone prášek5 g  ® = ?
20-25°C
180 Den
Chráněno před světlem 4598

  Mentions Légales