Zadnji put ažurirano :
27/04/2026
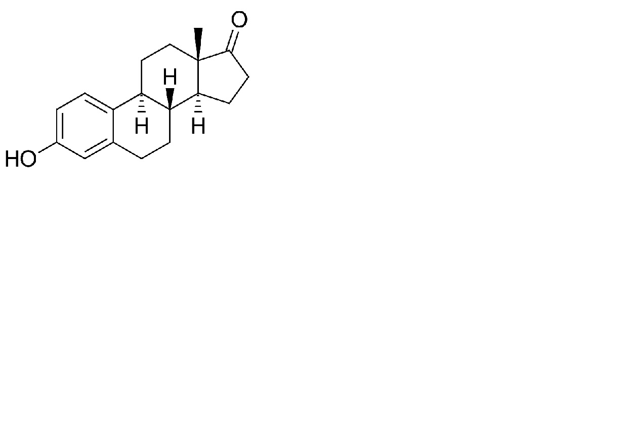
Hormonski   Estrone  
masti
Stabilnost farmaceutskih pripravaka Stabilnost mješavine Stabilizacijski faktor Kompatibilnosti Bibliografija pdf
   Kemijska struktura  

masti
Stabilnost mješavine   masti   Stabilnost mješavine : Estrone     
Kontejner pomoćna tvar molekula temperatura Konzerviranje Trajanje stabilnosti Bibliografija
čaša
Transcutol® 10 g
Versatile® >> 100 g
masti   Estrone prašak1 g  ® = ?
masti   Estriol prašak2 g  ® = ?
masti   Estradiol prašak1 g  ® = ?
masti   Progestérone prašak20 g  ® = ?
masti   Testostérone prašak5 g  ® = ?
2-8°C
180 dan
Zaštićeno od svjetlosti 4598
čaša
Transcutol® 10 g
Fitalite® >> 100 g
masti   Estrone prašak1 g  ® = ?
masti   Estriol prašak2 g  ® = ?
masti   Estradiol prašak1 g  ® = ?
masti   Progestérone prašak20 g  ® = ?
masti   Testostérone prašak5 g  ® = ?
2-8°C
180 dan
Zaštićeno od svjetlosti 4598
čaša
Transcutol® 10 g
HRT Supreme® >> 100 g
masti   Estrone prašak1 g  ® = ?
masti   Estriol prašak2 g  ® = ?
masti   Estradiol prašak1 g  ® = ?
masti   Progestérone prašak20 g  ® = ?
masti   Testostérone prašak5 g  ® = ?
2-8°C
180 dan
Zaštićeno od svjetlosti 4598
čaša
Transcutol® 10 g
Versatile® >> 100 g
masti   Estrone prašak1 g  ® = ?
masti   Estriol prašak2 g  ® = ?
masti   Estradiol prašak1 g  ® = ?
masti   Progestérone prašak20 g  ® = ?
masti   Testostérone prašak5 g  ® = ?
20-25°C
180 dan
Zaštićeno od svjetlosti 4598
čaša
Transcutol® 10 g
Fitalite® >> 100 g
masti   Estrone prašak1 g  ® = ?
masti   Estriol prašak2 g  ® = ?
masti   Estradiol prašak1 g  ® = ?
masti   Progestérone prašak20 g  ® = ?
masti   Testostérone prašak5 g  ® = ?
20-25°C
180 dan
Zaštićeno od svjetlosti 4598
čaša
Transcutol® 10 g
HRT Supreme® >> 100 g
masti   Estrone prašak1 g  ® = ?
masti   Estriol prašak2 g  ® = ?
masti   Estradiol prašak1 g  ® = ?
masti   Progestérone prašak20 g  ® = ?
masti   Testostérone prašak5 g  ® = ?
20-25°C
180 dan
Zaštićeno od svjetlosti 4598

  Mentions Légales