Dernière mise à jour :
27/04/2026
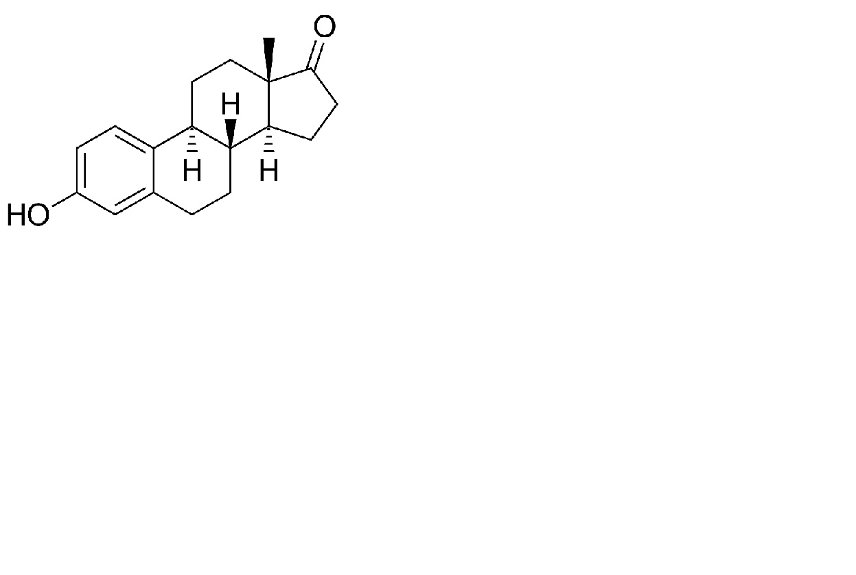
Hormone   Estrone  
Forme dermique
Stabilité des préparations Stabilité en mélange Facteur influençant la stabilité Compatibilités Bibliographie pdf
   Structure chimique  

Forme dermique
Stabilité en mélange   Forme dermique   Stabilité en mélange : Estrone     
Contenant Excipient Molécule Température Conservation Durée de stabilité Bibliographie
Verre
Transcutol® 10 g
Versatile® >> 100 g
Forme dermique   Estrone Poudre1 g  ® = ?
Forme dermique   Estriol Poudre2 g  ® = ?
Forme dermique   Estradiol Poudre1 g  ® = ?
Forme dermique   Progestérone Poudre20 g  ® = ?
Forme dermique   Testostérone Poudre5 g  ® = ?
2-8°C
180 Jour
A l’abri de la lumière 4598
Verre
Transcutol® 10 g
Fitalite® >> 100 g
Forme dermique   Estrone Poudre1 g  ® = ?
Forme dermique   Estriol Poudre2 g  ® = ?
Forme dermique   Estradiol Poudre1 g  ® = ?
Forme dermique   Progestérone Poudre20 g  ® = ?
Forme dermique   Testostérone Poudre5 g  ® = ?
2-8°C
180 Jour
A l’abri de la lumière 4598
Verre
Transcutol® 10 g
HRT Supreme® >> 100 g
Forme dermique   Estrone Poudre1 g  ® = ?
Forme dermique   Estriol Poudre2 g  ® = ?
Forme dermique   Estradiol Poudre1 g  ® = ?
Forme dermique   Progestérone Poudre20 g  ® = ?
Forme dermique   Testostérone Poudre5 g  ® = ?
2-8°C
180 Jour
A l’abri de la lumière 4598
Verre
Transcutol® 10 g
Versatile® >> 100 g
Forme dermique   Estrone Poudre1 g  ® = ?
Forme dermique   Estriol Poudre2 g  ® = ?
Forme dermique   Estradiol Poudre1 g  ® = ?
Forme dermique   Progestérone Poudre20 g  ® = ?
Forme dermique   Testostérone Poudre5 g  ® = ?
20-25°C
180 Jour
A l’abri de la lumière 4598
Verre
Transcutol® 10 g
Fitalite® >> 100 g
Forme dermique   Estrone Poudre1 g  ® = ?
Forme dermique   Estriol Poudre2 g  ® = ?
Forme dermique   Estradiol Poudre1 g  ® = ?
Forme dermique   Progestérone Poudre20 g  ® = ?
Forme dermique   Testostérone Poudre5 g  ® = ?
20-25°C
180 Jour
A l’abri de la lumière 4598
Verre
Transcutol® 10 g
HRT Supreme® >> 100 g
Forme dermique   Estrone Poudre1 g  ® = ?
Forme dermique   Estriol Poudre2 g  ® = ?
Forme dermique   Estradiol Poudre1 g  ® = ?
Forme dermique   Progestérone Poudre20 g  ® = ?
Forme dermique   Testostérone Poudre5 g  ® = ?
20-25°C
180 Jour
A l’abri de la lumière 4598

  Mentions Légales