Ultimele actualizari :
27/04/2026
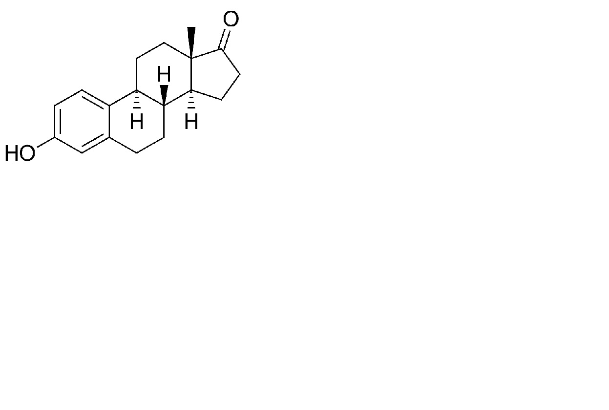
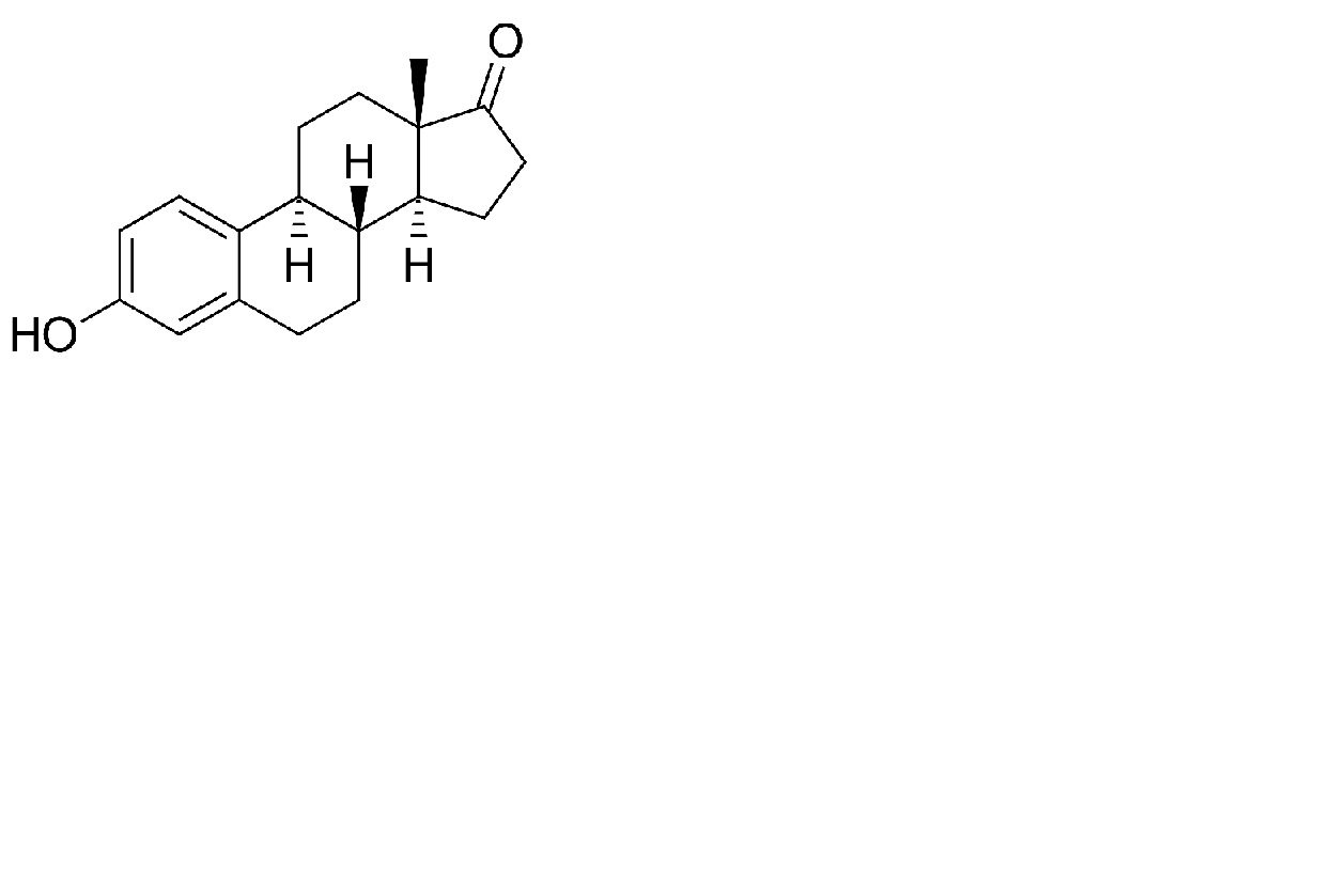
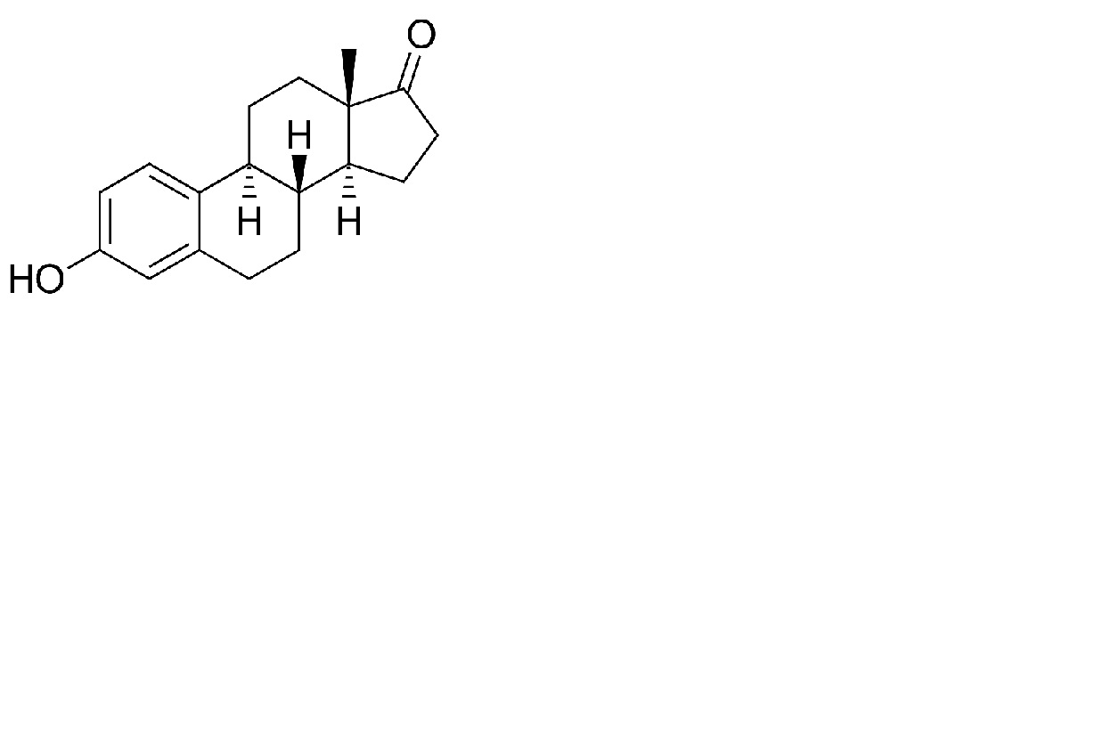
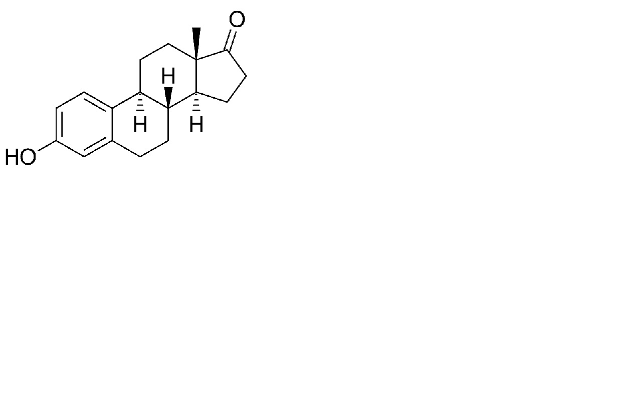
Hormone   Estrone  
Unguente
Stabilitatea preparatelor farmaceutice Stabilitatea in amestec Factorii care influenteaza stabilitatea Compatibilitate Bibliografie pdf
   Formula chimica  

Unguente
Stabilitatea in amestec   Unguente   Stabilitatea in amestec : Estrone     
Continut Excipient Molecula (substanta activa) Temperatura Conservare Durata stabilității Bibiografie
sticla
Transcutol® 10 g
Versatile® >> 100 g
Unguente   Estrone praf1 g  ® = ?
Unguente   Estriol praf2 g  ® = ?
Unguente   Estradiol praf1 g  ® = ?
Unguente   Progestérone praf20 g  ® = ?
Unguente   Testostérone praf5 g  ® = ?
2-8°C
180 Ziua
Ferit de lumina 4598
sticla
Transcutol® 10 g
Fitalite® >> 100 g
Unguente   Estrone praf1 g  ® = ?
Unguente   Estriol praf2 g  ® = ?
Unguente   Estradiol praf1 g  ® = ?
Unguente   Progestérone praf20 g  ® = ?
Unguente   Testostérone praf5 g  ® = ?
2-8°C
180 Ziua
Ferit de lumina 4598
sticla
Transcutol® 10 g
HRT Supreme® >> 100 g
Unguente   Estrone praf1 g  ® = ?
Unguente   Estriol praf2 g  ® = ?
Unguente   Estradiol praf1 g  ® = ?
Unguente   Progestérone praf20 g  ® = ?
Unguente   Testostérone praf5 g  ® = ?
2-8°C
180 Ziua
Ferit de lumina 4598
sticla
Transcutol® 10 g
Versatile® >> 100 g
Unguente   Estrone praf1 g  ® = ?
Unguente   Estriol praf2 g  ® = ?
Unguente   Estradiol praf1 g  ® = ?
Unguente   Progestérone praf20 g  ® = ?
Unguente   Testostérone praf5 g  ® = ?
20-25°C
180 Ziua
Ferit de lumina 4598
sticla
Transcutol® 10 g
Fitalite® >> 100 g
Unguente   Estrone praf1 g  ® = ?
Unguente   Estriol praf2 g  ® = ?
Unguente   Estradiol praf1 g  ® = ?
Unguente   Progestérone praf20 g  ® = ?
Unguente   Testostérone praf5 g  ® = ?
20-25°C
180 Ziua
Ferit de lumina 4598
sticla
Transcutol® 10 g
HRT Supreme® >> 100 g
Unguente   Estrone praf1 g  ® = ?
Unguente   Estriol praf2 g  ® = ?
Unguente   Estradiol praf1 g  ® = ?
Unguente   Progestérone praf20 g  ® = ?
Unguente   Testostérone praf5 g  ® = ?
20-25°C
180 Ziua
Ferit de lumina 4598

  Mentions Légales