最新更新 :
27/04/2026
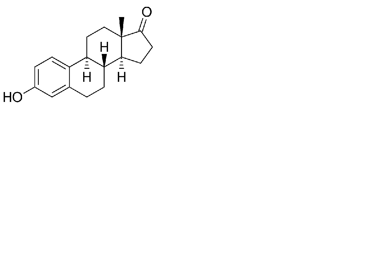
激素   Estrone  
药膏
制剂的稳定性 混合物稳定性 影响稳定性的因素 兼容性 引用文献 PDF
   化学式  

药膏
混合物稳定性   药膏   混合物稳定性 : Estrone     
容器 添加剂 分子 温度 保存 穩定持續時間 引用文献
玻璃
Transcutol® 10 g
Versatile® >> 100 g
药膏   Estrone 粉剂1 g  ® = ?
药膏   Estriol 粉剂2 g  ® = ?
药膏   Estradiol 粉剂1 g  ® = ?
药膏   Progestérone 粉剂20 g  ® = ?
药膏   Testostérone 粉剂5 g  ® = ?
2-8°C
180 白天
避光 4598
玻璃
Transcutol® 10 g
Fitalite® >> 100 g
药膏   Estrone 粉剂1 g  ® = ?
药膏   Estriol 粉剂2 g  ® = ?
药膏   Estradiol 粉剂1 g  ® = ?
药膏   Progestérone 粉剂20 g  ® = ?
药膏   Testostérone 粉剂5 g  ® = ?
2-8°C
180 白天
避光 4598
玻璃
Transcutol® 10 g
HRT Supreme® >> 100 g
药膏   Estrone 粉剂1 g  ® = ?
药膏   Estriol 粉剂2 g  ® = ?
药膏   Estradiol 粉剂1 g  ® = ?
药膏   Progestérone 粉剂20 g  ® = ?
药膏   Testostérone 粉剂5 g  ® = ?
2-8°C
180 白天
避光 4598
玻璃
Transcutol® 10 g
Versatile® >> 100 g
药膏   Estrone 粉剂1 g  ® = ?
药膏   Estriol 粉剂2 g  ® = ?
药膏   Estradiol 粉剂1 g  ® = ?
药膏   Progestérone 粉剂20 g  ® = ?
药膏   Testostérone 粉剂5 g  ® = ?
20-25°C
180 白天
避光 4598
玻璃
Transcutol® 10 g
Fitalite® >> 100 g
药膏   Estrone 粉剂1 g  ® = ?
药膏   Estriol 粉剂2 g  ® = ?
药膏   Estradiol 粉剂1 g  ® = ?
药膏   Progestérone 粉剂20 g  ® = ?
药膏   Testostérone 粉剂5 g  ® = ?
20-25°C
180 白天
避光 4598
玻璃
Transcutol® 10 g
HRT Supreme® >> 100 g
药膏   Estrone 粉剂1 g  ® = ?
药膏   Estriol 粉剂2 g  ® = ?
药膏   Estradiol 粉剂1 g  ® = ?
药膏   Progestérone 粉剂20 g  ® = ?
药膏   Testostérone 粉剂5 g  ® = ?
20-25°C
180 白天
避光 4598

  Mentions Légales