Pēdējā atjaunošana :
27/04/2026
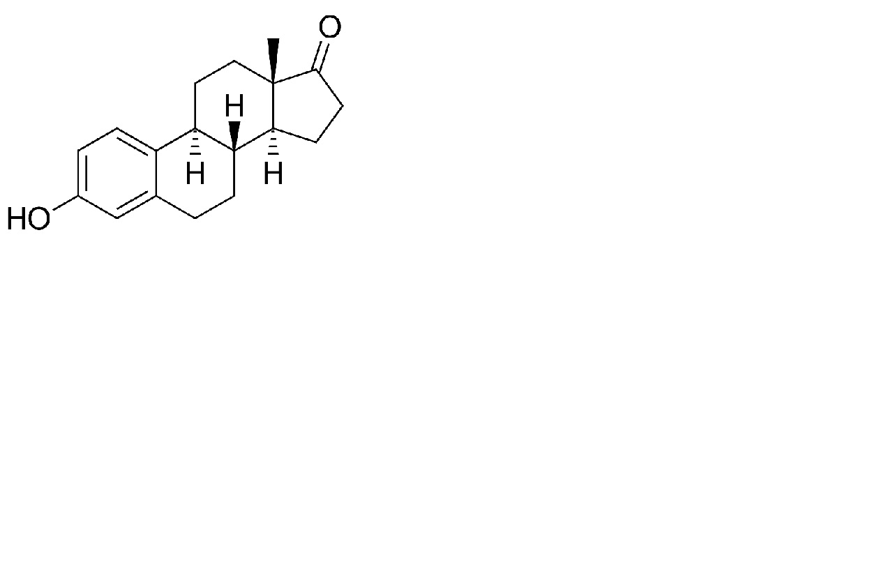
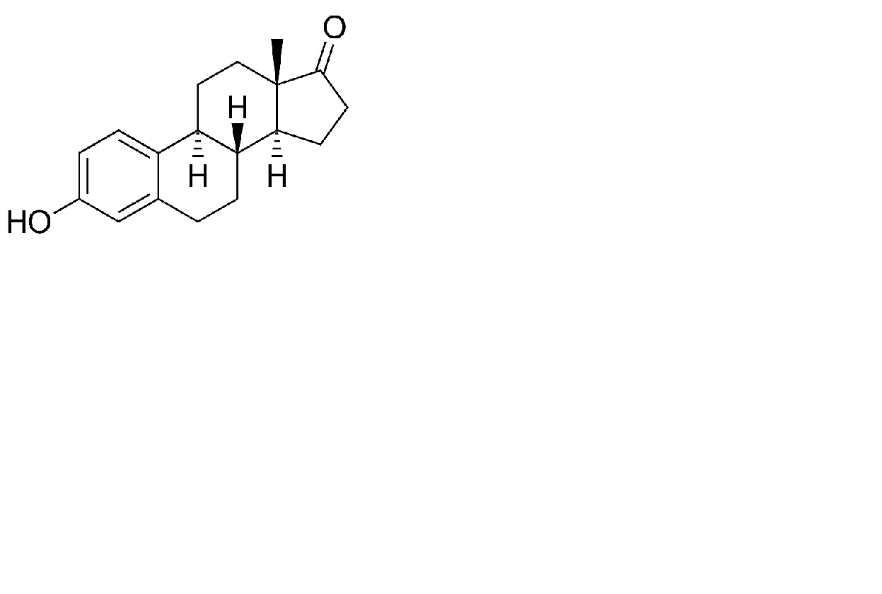
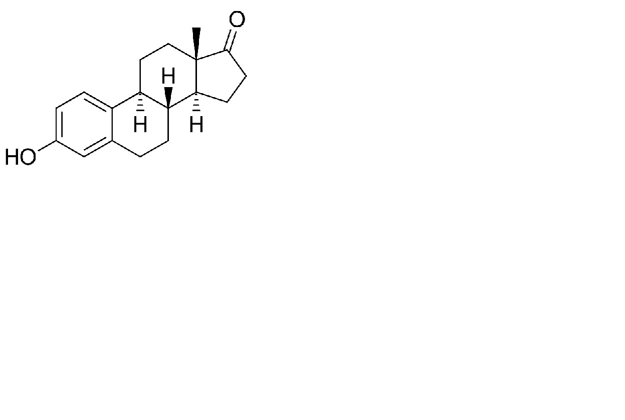
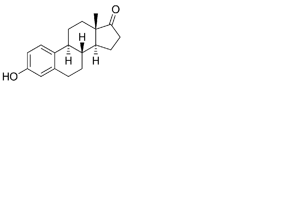
Hormons   Estrone  
Ziedes
Stabilitāte farmaceitisko preparātu Maisījuma stabilitāte Stabilitāti ietekmējoši faktori Saderība Literatūras saraksts pdf
   Ķīmiskā uzbūve   

Ziedes
Maisījuma stabilitāte   Ziedes   Maisījuma stabilitāte : Estrone     
Iepakojums Palīgviela Savienojums Temperatūra Glabāšana Stabilitātes ilgums Literatūras saraksts
Stikls
Transcutol® 10 g
Versatile® >> 100 g
Ziedes   Estrone Pūderis1 g  ® = ?
Ziedes   Estriol Pūderis2 g  ® = ?
Ziedes   Estradiol Pūderis1 g  ® = ?
Ziedes   Progestérone Pūderis20 g  ® = ?
Ziedes   Testostérone Pūderis5 g  ® = ?
2-8°C
180 Diena
Aizsargāt no gaismas 4598
Stikls
Transcutol® 10 g
Fitalite® >> 100 g
Ziedes   Estrone Pūderis1 g  ® = ?
Ziedes   Estriol Pūderis2 g  ® = ?
Ziedes   Estradiol Pūderis1 g  ® = ?
Ziedes   Progestérone Pūderis20 g  ® = ?
Ziedes   Testostérone Pūderis5 g  ® = ?
2-8°C
180 Diena
Aizsargāt no gaismas 4598
Stikls
Transcutol® 10 g
HRT Supreme® >> 100 g
Ziedes   Estrone Pūderis1 g  ® = ?
Ziedes   Estriol Pūderis2 g  ® = ?
Ziedes   Estradiol Pūderis1 g  ® = ?
Ziedes   Progestérone Pūderis20 g  ® = ?
Ziedes   Testostérone Pūderis5 g  ® = ?
2-8°C
180 Diena
Aizsargāt no gaismas 4598
Stikls
Transcutol® 10 g
Versatile® >> 100 g
Ziedes   Estrone Pūderis1 g  ® = ?
Ziedes   Estriol Pūderis2 g  ® = ?
Ziedes   Estradiol Pūderis1 g  ® = ?
Ziedes   Progestérone Pūderis20 g  ® = ?
Ziedes   Testostérone Pūderis5 g  ® = ?
20-25°C
180 Diena
Aizsargāt no gaismas 4598
Stikls
Transcutol® 10 g
Fitalite® >> 100 g
Ziedes   Estrone Pūderis1 g  ® = ?
Ziedes   Estriol Pūderis2 g  ® = ?
Ziedes   Estradiol Pūderis1 g  ® = ?
Ziedes   Progestérone Pūderis20 g  ® = ?
Ziedes   Testostérone Pūderis5 g  ® = ?
20-25°C
180 Diena
Aizsargāt no gaismas 4598
Stikls
Transcutol® 10 g
HRT Supreme® >> 100 g
Ziedes   Estrone Pūderis1 g  ® = ?
Ziedes   Estriol Pūderis2 g  ® = ?
Ziedes   Estradiol Pūderis1 g  ® = ?
Ziedes   Progestérone Pūderis20 g  ® = ?
Ziedes   Testostérone Pūderis5 g  ® = ?
20-25°C
180 Diena
Aizsargāt no gaismas 4598

  Mentions Légales