Siste oppdatering :
27/04/2026
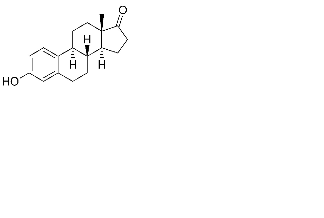
Hormon   Estrone  
Salver
Stabilitet av farmasøytiske preparater Stabilitet i blandinger Faktorer som påvirker stabiliteten Kompatibilitet Referanser pdf
   Kjemisk struktur  

Salver
Stabilitet i blandinger   Salver   Stabilitet i blandinger : Estrone     
Beholder Hjelpestoff Legemiddel Temperatur Oppbevaring Varighet av stabilitet Referanser
Glass
Transcutol® 10 g
Versatile® >> 100 g
Salver   Estrone Pulver1 g  ® = ?
Salver   Estriol Pulver2 g  ® = ?
Salver   Estradiol Pulver1 g  ® = ?
Salver   Progestérone Pulver20 g  ® = ?
Salver   Testostérone Pulver5 g  ® = ?
2-8°C
180 Dag
Beskyttes mot lys 4598
Glass
Transcutol® 10 g
Fitalite® >> 100 g
Salver   Estrone Pulver1 g  ® = ?
Salver   Estriol Pulver2 g  ® = ?
Salver   Estradiol Pulver1 g  ® = ?
Salver   Progestérone Pulver20 g  ® = ?
Salver   Testostérone Pulver5 g  ® = ?
2-8°C
180 Dag
Beskyttes mot lys 4598
Glass
Transcutol® 10 g
HRT Supreme® >> 100 g
Salver   Estrone Pulver1 g  ® = ?
Salver   Estriol Pulver2 g  ® = ?
Salver   Estradiol Pulver1 g  ® = ?
Salver   Progestérone Pulver20 g  ® = ?
Salver   Testostérone Pulver5 g  ® = ?
2-8°C
180 Dag
Beskyttes mot lys 4598
Glass
Transcutol® 10 g
Versatile® >> 100 g
Salver   Estrone Pulver1 g  ® = ?
Salver   Estriol Pulver2 g  ® = ?
Salver   Estradiol Pulver1 g  ® = ?
Salver   Progestérone Pulver20 g  ® = ?
Salver   Testostérone Pulver5 g  ® = ?
20-25°C
180 Dag
Beskyttes mot lys 4598
Glass
Transcutol® 10 g
Fitalite® >> 100 g
Salver   Estrone Pulver1 g  ® = ?
Salver   Estriol Pulver2 g  ® = ?
Salver   Estradiol Pulver1 g  ® = ?
Salver   Progestérone Pulver20 g  ® = ?
Salver   Testostérone Pulver5 g  ® = ?
20-25°C
180 Dag
Beskyttes mot lys 4598
Glass
Transcutol® 10 g
HRT Supreme® >> 100 g
Salver   Estrone Pulver1 g  ® = ?
Salver   Estriol Pulver2 g  ® = ?
Salver   Estradiol Pulver1 g  ® = ?
Salver   Progestérone Pulver20 g  ® = ?
Salver   Testostérone Pulver5 g  ® = ?
20-25°C
180 Dag
Beskyttes mot lys 4598

  Mentions Légales