最新更新 :
27/04/2026
ホルモン薬   Estrone  
軟膏薬
調剤時の安定性 混合時の安定性 安定性に影響する因子 互換性 引用文献 PDF
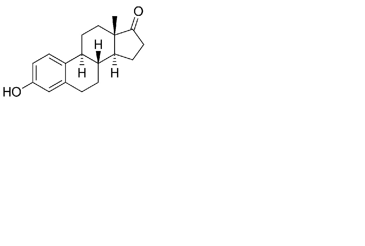
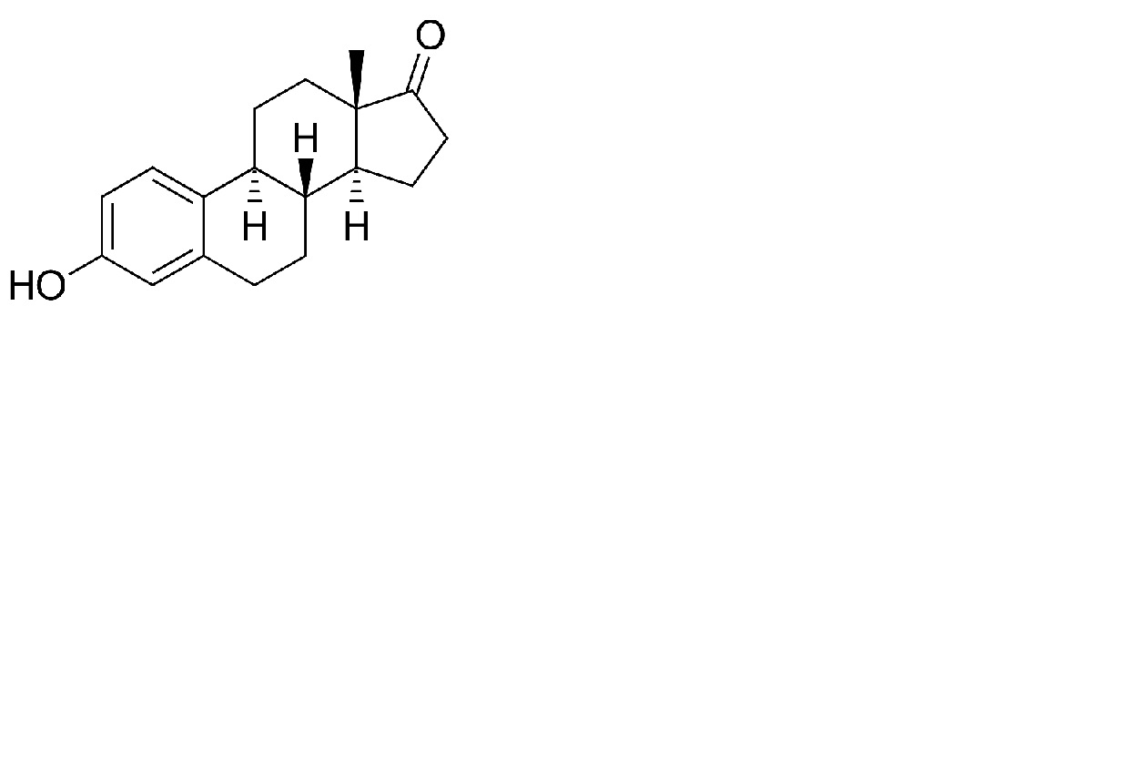
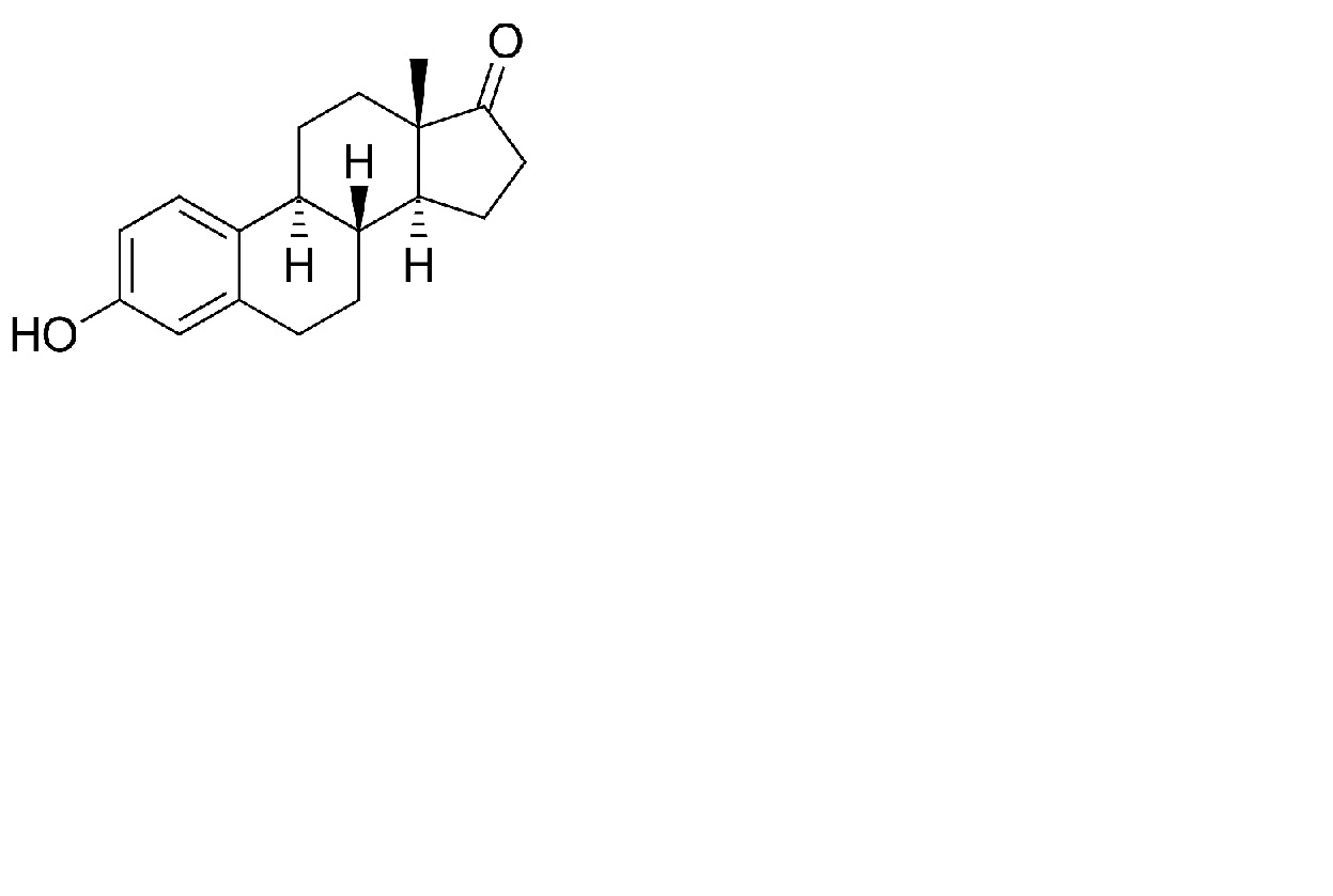
   化学構造  

軟膏薬
混合時の安定性   軟膏薬   混合時の安定性 : Estrone     
容器 添加剤 化合物 温度 保管 安定期間 引用文献
ガラス
Transcutol® 10 g
Versatile® >> 100 g
軟膏薬   Estrone 粉1 g  ® = ?
軟膏薬   Estriol 粉2 g  ® = ?
軟膏薬   Estradiol 粉1 g  ® = ?
軟膏薬   Progestérone 粉20 g  ® = ?
軟膏薬   Testostérone 粉5 g  ® = ?
2-8°C
180 日
遮光 4598
ガラス
Transcutol® 10 g
Fitalite® >> 100 g
軟膏薬   Estrone 粉1 g  ® = ?
軟膏薬   Estriol 粉2 g  ® = ?
軟膏薬   Estradiol 粉1 g  ® = ?
軟膏薬   Progestérone 粉20 g  ® = ?
軟膏薬   Testostérone 粉5 g  ® = ?
2-8°C
180 日
遮光 4598
ガラス
Transcutol® 10 g
HRT Supreme® >> 100 g
軟膏薬   Estrone 粉1 g  ® = ?
軟膏薬   Estriol 粉2 g  ® = ?
軟膏薬   Estradiol 粉1 g  ® = ?
軟膏薬   Progestérone 粉20 g  ® = ?
軟膏薬   Testostérone 粉5 g  ® = ?
2-8°C
180 日
遮光 4598
ガラス
Transcutol® 10 g
Versatile® >> 100 g
軟膏薬   Estrone 粉1 g  ® = ?
軟膏薬   Estriol 粉2 g  ® = ?
軟膏薬   Estradiol 粉1 g  ® = ?
軟膏薬   Progestérone 粉20 g  ® = ?
軟膏薬   Testostérone 粉5 g  ® = ?
20-25°C
180 日
遮光 4598
ガラス
Transcutol® 10 g
Fitalite® >> 100 g
軟膏薬   Estrone 粉1 g  ® = ?
軟膏薬   Estriol 粉2 g  ® = ?
軟膏薬   Estradiol 粉1 g  ® = ?
軟膏薬   Progestérone 粉20 g  ® = ?
軟膏薬   Testostérone 粉5 g  ® = ?
20-25°C
180 日
遮光 4598
ガラス
Transcutol® 10 g
HRT Supreme® >> 100 g
軟膏薬   Estrone 粉1 g  ® = ?
軟膏薬   Estriol 粉2 g  ® = ?
軟膏薬   Estradiol 粉1 g  ® = ?
軟膏薬   Progestérone 粉20 g  ® = ?
軟膏薬   Testostérone 粉5 g  ® = ?
20-25°C
180 日
遮光 4598

  Mentions Légales