آخر تحديث :
27/04/2026
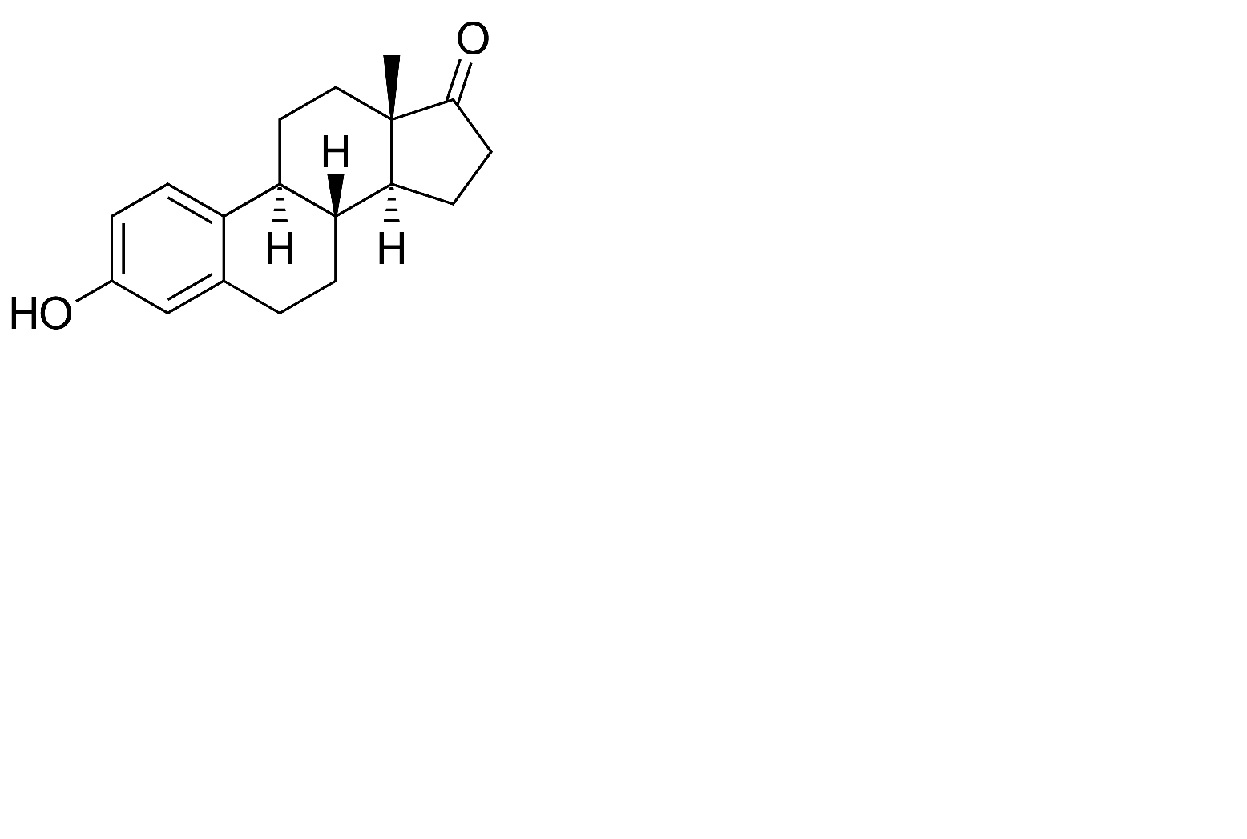
هرمون   Estrone  
المراهم
استقرار المستحضرات الصيدلانية استقرار مخاليط العوامل التي تؤثر على الاستقرار التوافق مراجع pdf
   التركيب الكيميائي  

المراهم
استقرار مخاليط   المراهم   استقرار مخاليط : Estrone     
حاوية الاضافات مركب درجة الحرارة تخزين مدة الاستقرار مراجع
زجاج
Transcutol® 10 g
Versatile® >> 100 g
المراهم   Estrone مسحوق1 g  ® = ?
المراهم   Estriol مسحوق2 g  ® = ?
المراهم   Estradiol مسحوق1 g  ® = ?
المراهم   Progestérone مسحوق20 g  ® = ?
المراهم   Testostérone مسحوق5 g  ® = ?
2-8°C
180 يوم
بعيدا عن الضوء 4598
زجاج
Transcutol® 10 g
Fitalite® >> 100 g
المراهم   Estrone مسحوق1 g  ® = ?
المراهم   Estriol مسحوق2 g  ® = ?
المراهم   Estradiol مسحوق1 g  ® = ?
المراهم   Progestérone مسحوق20 g  ® = ?
المراهم   Testostérone مسحوق5 g  ® = ?
2-8°C
180 يوم
بعيدا عن الضوء 4598
زجاج
Transcutol® 10 g
HRT Supreme® >> 100 g
المراهم   Estrone مسحوق1 g  ® = ?
المراهم   Estriol مسحوق2 g  ® = ?
المراهم   Estradiol مسحوق1 g  ® = ?
المراهم   Progestérone مسحوق20 g  ® = ?
المراهم   Testostérone مسحوق5 g  ® = ?
2-8°C
180 يوم
بعيدا عن الضوء 4598
زجاج
Transcutol® 10 g
Versatile® >> 100 g
المراهم   Estrone مسحوق1 g  ® = ?
المراهم   Estriol مسحوق2 g  ® = ?
المراهم   Estradiol مسحوق1 g  ® = ?
المراهم   Progestérone مسحوق20 g  ® = ?
المراهم   Testostérone مسحوق5 g  ® = ?
20-25°C
180 يوم
بعيدا عن الضوء 4598
زجاج
Transcutol® 10 g
Fitalite® >> 100 g
المراهم   Estrone مسحوق1 g  ® = ?
المراهم   Estriol مسحوق2 g  ® = ?
المراهم   Estradiol مسحوق1 g  ® = ?
المراهم   Progestérone مسحوق20 g  ® = ?
المراهم   Testostérone مسحوق5 g  ® = ?
20-25°C
180 يوم
بعيدا عن الضوء 4598
زجاج
Transcutol® 10 g
HRT Supreme® >> 100 g
المراهم   Estrone مسحوق1 g  ® = ?
المراهم   Estriol مسحوق2 g  ® = ?
المراهم   Estradiol مسحوق1 g  ® = ?
المراهم   Progestérone مسحوق20 g  ® = ?
المراهم   Testostérone مسحوق5 g  ® = ?
20-25°C
180 يوم
بعيدا عن الضوء 4598

  Mentions Légales