Son güncelleme :
27/01/2026
kanser ilaç   Pemetrexed diarginine  
Enjeksiyon
Çözeltilerin stabilitesi Karışımlardaki stabilitesi Stabiliteyi etkileyen faktörler Uyumluluk Uygulama yöntemi Kaynaklar pdf
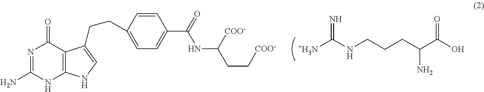
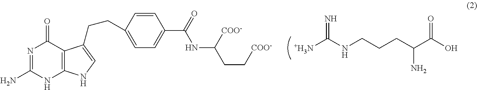
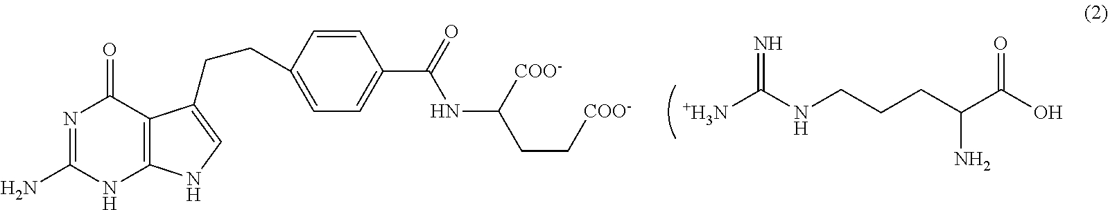
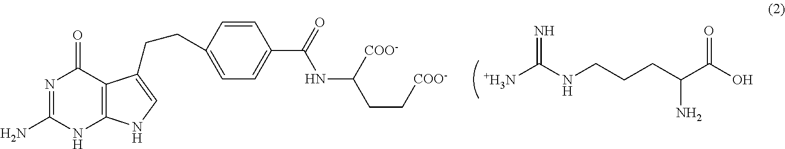
   Kimyasal yapı   

Ticari isim   Ticari isim     

Trade names are indicative and excipients composition can be different depending on the country and manufacturers

Pemetrexed Mylan Fransa
Pemetrexed Ohre Pharma Fransa
Pemetrexed Zentiva Fransa
Çözeltilerin stabilitesi   Enjeksiyon    Çözeltilerin stabilitesi : Pemetrexed diarginine     
Saklama kabı Çözücü Konsantrasyon Isı Saklama    Stabilite süresi Kaynaklar
Cam Yok 25 mg/ml 2-8°C Işıktan koruyunuz
14 Gün
4546
Kanıt düzeyi A

Cam Yok 25 mg/ml 2-8°C Işıklı veya ışıksız
7 Gün
4702
Kanıt düzeyi A+

Cam Yok 25 mg/ml 22-25°C I_ık
1 Gün
4546
Kanıt düzeyi A

kısmen kullanılmış flakonlar Yok 25 mg/ml 2-8°C Işıktan koruyunuz
7 Gün
4702
Kanıt düzeyi A+

kısmen kullanılmış flakonlar Yok 25 mg/ml 25°C I_ık
4 Gün
4702
Kanıt düzeyi A+

Poliolefin Sodyum klorür % 0,9 12 mg/ml 2-8°C Işıktan koruyunuz
4 Gün
4546
Kanıt düzeyi A

Poliolefin Sodyum klorür % 0,9 12 mg/ml 22-25°C I_ık
1 Gün
4546
Kanıt düzeyi A

Poliolefin Sodyum klorür % 0,9 3 & 12 mg/ml 2-8°C Işıklı veya ışıksız
28 Gün
4702
Kanıt düzeyi A+

Poliolefin Sodyum klorür % 0,9 3 & 12 mg/ml 20-25°C Işıklı veya ışıksız
7 Gün
4702
Kanıt düzeyi A+

Poliolefin Sodyum klorür % 0,9 4,9 mg/ml 2-8°C Işıktan koruyunuz
4 Gün
4546
Kanıt düzeyi A

Poliolefin Sodyum klorür % 0,9 4,9 mg/ml 22-25°C I_ık
1 Gün
4546
Kanıt düzeyi A

Poliolefin Glukoz %5 12 mg/ml 2-8°C Işıktan koruyunuz
4 Gün
4546
Kanıt düzeyi A

Poliolefin Glukoz %5 12 mg/ml 22-25°C I_ık
1 Gün
4546
Kanıt düzeyi A

Poliolefin Glukoz %5 3 & 12 mg/ml 2-8°C Işıklı veya ışıksız
28 Gün
4702
Kanıt düzeyi A+

Poliolefin Glukoz %5 3 & 12 mg/ml 20-25°C Işıklı veya ışıksız
7 Gün
4702
Kanıt düzeyi A+

Poliolefin Glukoz %5 4,9 mg/ml 2-8°C Işıktan koruyunuz
4 Gün
4546
Kanıt düzeyi A

Poliolefin Glukoz %5 4,9 mg/ml 22-25°C I_ık
1 Gün
4546
Kanıt düzeyi A


  Mentions Légales