Zadnji put ažurirano :
27/01/2026
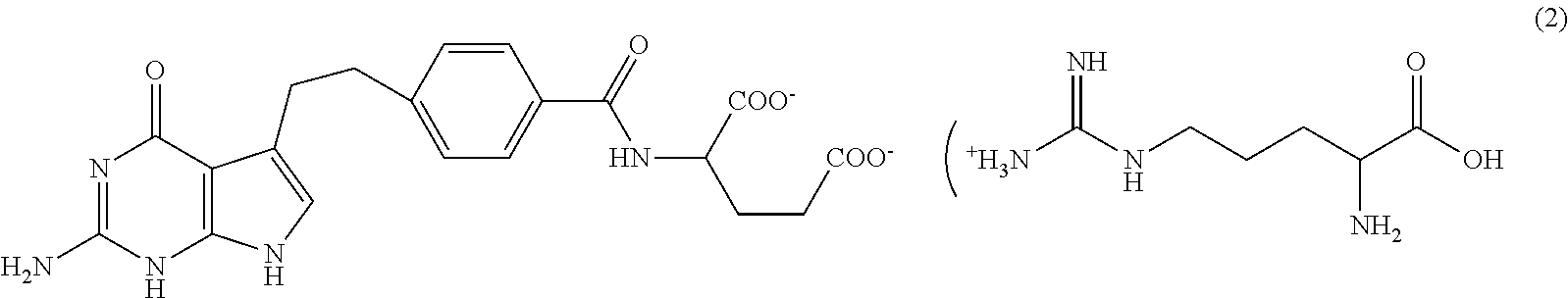
lijek protiv karcinoma   Pemetrexed diarginine  
injekcija
Stabilizacija rješenja Stabilnost mješavine Stabilizacijski faktor Kompatibilnosti način davanja lijeka Bibliografija pdf
   Kemijska struktura  

Nekomercijalni   Nekomercijalni     

Zaštićeni nazivi su indikativni i sastav ekscipijensa može biti različit ovisno o državi i laboratorijima

Pemetrexed Mylan Francuska
Pemetrexed Ohre Pharma Francuska
Pemetrexed Zentiva Francuska
Stabilizacija rješenja   injekcija   Stabilizacija rješenja : Pemetrexed diarginine     
Kontejner sredstvo za rastapanje koncentracija temperatura Konzerviranje Trajanje stabilnosti Bibliografija
čaša nijedan 25 mg/ml 2-8°C Zaštićeno od svjetlosti
14 dan
4546
Razina dokaza A

čaša nijedan 25 mg/ml 2-8°C Sa i bez svjetlosti
7 dan
4702
Razina dokaza A+

čaša nijedan 25 mg/ml 22-25°C svjetlost
1 dan
4546
Razina dokaza A

djelomično korištene boce nijedan 25 mg/ml 2-8°C Zaštićeno od svjetlosti
7 dan
4702
Razina dokaza A+

djelomično korištene boce nijedan 25 mg/ml 25°C svjetlost
4 dan
4702
Razina dokaza A+

poliolefin natrijumkorid 0,9% 12 mg/ml 2-8°C Zaštićeno od svjetlosti
4 dan
4546
Razina dokaza A

poliolefin natrijumkorid 0,9% 12 mg/ml 22-25°C svjetlost
1 dan
4546
Razina dokaza A

poliolefin natrijumkorid 0,9% 3 & 12 mg/ml 2-8°C Sa i bez svjetlosti
28 dan
4702
Razina dokaza A+

poliolefin natrijumkorid 0,9% 3 & 12 mg/ml 20-25°C Sa i bez svjetlosti
7 dan
4702
Razina dokaza A+

poliolefin natrijumkorid 0,9% 4,9 mg/ml 2-8°C Zaštićeno od svjetlosti
4 dan
4546
Razina dokaza A

poliolefin natrijumkorid 0,9% 4,9 mg/ml 22-25°C svjetlost
1 dan
4546
Razina dokaza A

poliolefin glukoza 5% 12 mg/ml 2-8°C Zaštićeno od svjetlosti
4 dan
4546
Razina dokaza A

poliolefin glukoza 5% 12 mg/ml 22-25°C svjetlost
1 dan
4546
Razina dokaza A

poliolefin glukoza 5% 3 & 12 mg/ml 2-8°C Sa i bez svjetlosti
28 dan
4702
Razina dokaza A+

poliolefin glukoza 5% 3 & 12 mg/ml 20-25°C Sa i bez svjetlosti
7 dan
4702
Razina dokaza A+

poliolefin glukoza 5% 4,9 mg/ml 2-8°C Zaštićeno od svjetlosti
4 dan
4546
Razina dokaza A

poliolefin glukoza 5% 4,9 mg/ml 22-25°C svjetlost
1 dan
4546
Razina dokaza A


  Mentions Légales