Poslední aktualizace :
27/01/2026
rakovina drog   Pemetrexed diarginine  
injekce
Stabilita roztoků Stabilita směsí Faktory ovlivňující stabilitu Kompatibilita Způsoby aplikace Odkazy pdf
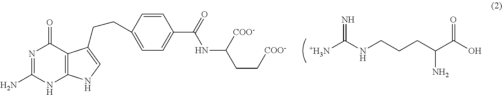
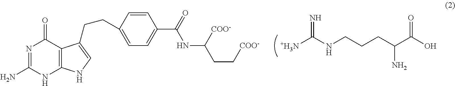
   Chemický vzorec  

Obchodní název   Obchodní název     

Trade names are indicative and excipients composition can be different depending on the country and manufacturers

Pemetrexed Mylan Francie
Pemetrexed Ohre Pharma Francie
Pemetrexed Zentiva Francie
Stabilita roztoků   injekce   Stabilita roztoků : Pemetrexed diarginine     
Obal RozpouötÏdlo Koncentrace Teplota Uchovávání Trvání stability Odkazy
Sklo Žádné 25 mg/ml 2-8°C Chráněno před světlem
14 Den
4546
Úroveň zkoušky A

Sklo Žádné 25 mg/ml 2-8°C S nebo bez svÏtla
7 Den
4702
Úroveň zkoušky A+

Sklo Žádné 25 mg/ml 22-25°C SvÏtlo
1 Den
4546
Úroveň zkoušky A

částečně použité lahvičky Žádné 25 mg/ml 2-8°C Chráněno před světlem
7 Den
4702
Úroveň zkoušky A+

částečně použité lahvičky Žádné 25 mg/ml 25°C SvÏtlo
4 Den
4702
Úroveň zkoušky A+

Polyoleofin Chlorid sodný 0,9% 12 mg/ml 2-8°C Chráněno před světlem
4 Den
4546
Úroveň zkoušky A

Polyoleofin Chlorid sodný 0,9% 12 mg/ml 22-25°C SvÏtlo
1 Den
4546
Úroveň zkoušky A

Polyoleofin Chlorid sodný 0,9% 3 & 12 mg/ml 2-8°C S nebo bez svÏtla
28 Den
4702
Úroveň zkoušky A+

Polyoleofin Chlorid sodný 0,9% 3 & 12 mg/ml 20-25°C S nebo bez svÏtla
7 Den
4702
Úroveň zkoušky A+

Polyoleofin Chlorid sodný 0,9% 4,9 mg/ml 2-8°C Chráněno před světlem
4 Den
4546
Úroveň zkoušky A

Polyoleofin Chlorid sodný 0,9% 4,9 mg/ml 22-25°C SvÏtlo
1 Den
4546
Úroveň zkoušky A

Polyoleofin GlukÛza 5% 12 mg/ml 2-8°C Chráněno před světlem
4 Den
4546
Úroveň zkoušky A

Polyoleofin GlukÛza 5% 12 mg/ml 22-25°C SvÏtlo
1 Den
4546
Úroveň zkoušky A

Polyoleofin GlukÛza 5% 3 & 12 mg/ml 2-8°C S nebo bez svÏtla
28 Den
4702
Úroveň zkoušky A+

Polyoleofin GlukÛza 5% 3 & 12 mg/ml 20-25°C S nebo bez svÏtla
7 Den
4702
Úroveň zkoušky A+

Polyoleofin GlukÛza 5% 4,9 mg/ml 2-8°C Chráněno před světlem
4 Den
4546
Úroveň zkoušky A

Polyoleofin GlukÛza 5% 4,9 mg/ml 22-25°C SvÏtlo
1 Den
4546
Úroveň zkoušky A


  Mentions Légales