Ultimele actualizari :
27/01/2026
Citostatic   Pemetrexed diarginine  
Injectabil
Stabilitatea in solutie Stabilitatea in amestec Factorii care influenteaza stabilitatea Compatibilitate Microunde Bibliografie pdf
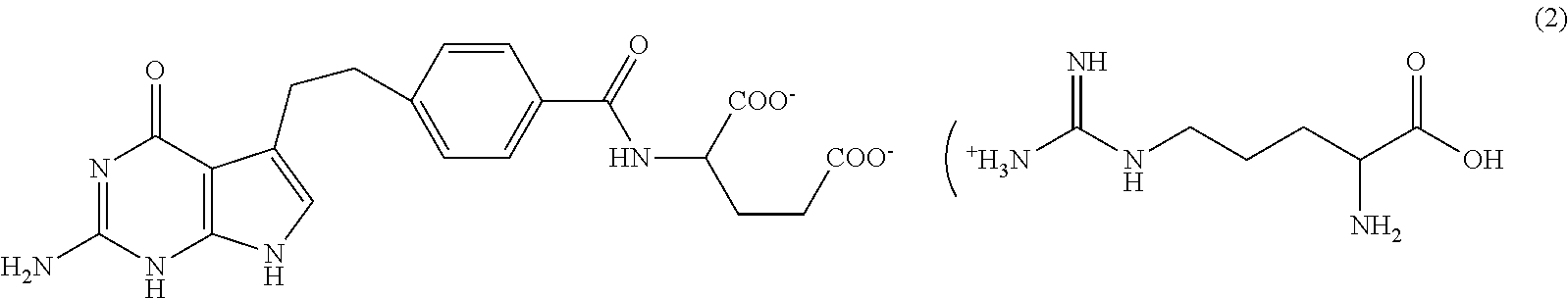
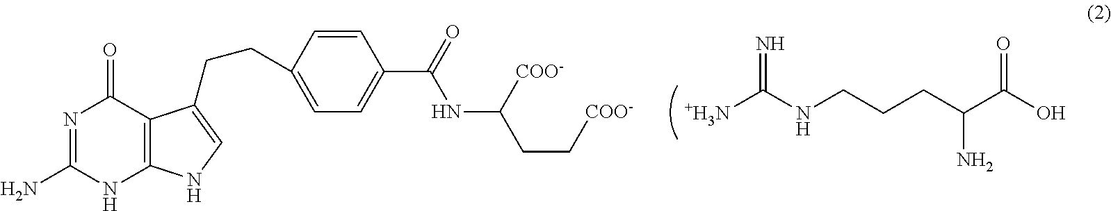
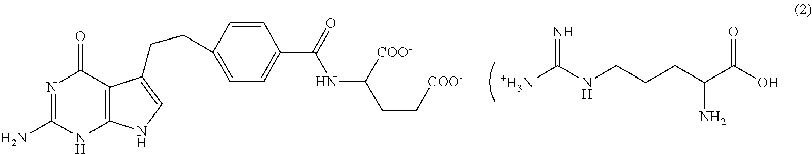
   Formula chimica  

Denumirea comerciala   Denumirea comerciala     

Trade names are indicative and excipients composition can be different depending on the country and manufacturers

Pemetrexed Mylan Franta
Pemetrexed Ohre Pharma Franta
Pemetrexed Zentiva Franta
Stabilitatea in solutie   Injectabil   Stabilitatea in solutie : Pemetrexed diarginine     
Continut Solvent Concentratie Temperatura Conservare Durata stabilității Bibiografie
sticla fara 25 mg/ml 2-8°C Ferit de lumina
14 Ziua
4546
Nivel de evidență A

sticla fara 25 mg/ml 2-8°C In prezenta sau absenta luminii
7 Ziua
4702
Nivel de evidență A+

sticla fara 25 mg/ml 22-25°C Lumina
1 Ziua
4546
Nivel de evidență A

fiole parțial utilizate fara 25 mg/ml 2-8°C Ferit de lumina
7 Ziua
4702
Nivel de evidență A+

fiole parțial utilizate fara 25 mg/ml 25°C Lumina
4 Ziua
4702
Nivel de evidență A+

poliolefine clorura de sodiu 0,9% 12 mg/ml 2-8°C Ferit de lumina
4 Ziua
4546
Nivel de evidență A

poliolefine clorura de sodiu 0,9% 12 mg/ml 22-25°C Lumina
1 Ziua
4546
Nivel de evidență A

poliolefine clorura de sodiu 0,9% 3 & 12 mg/ml 2-8°C In prezenta sau absenta luminii
28 Ziua
4702
Nivel de evidență A+

poliolefine clorura de sodiu 0,9% 3 & 12 mg/ml 20-25°C In prezenta sau absenta luminii
7 Ziua
4702
Nivel de evidență A+

poliolefine clorura de sodiu 0,9% 4,9 mg/ml 2-8°C Ferit de lumina
4 Ziua
4546
Nivel de evidență A

poliolefine clorura de sodiu 0,9% 4,9 mg/ml 22-25°C Lumina
1 Ziua
4546
Nivel de evidență A

poliolefine Glucoza 5% 12 mg/ml 2-8°C Ferit de lumina
4 Ziua
4546
Nivel de evidență A

poliolefine Glucoza 5% 12 mg/ml 22-25°C Lumina
1 Ziua
4546
Nivel de evidență A

poliolefine Glucoza 5% 3 & 12 mg/ml 2-8°C In prezenta sau absenta luminii
28 Ziua
4702
Nivel de evidență A+

poliolefine Glucoza 5% 3 & 12 mg/ml 20-25°C In prezenta sau absenta luminii
7 Ziua
4702
Nivel de evidență A+

poliolefine Glucoza 5% 4,9 mg/ml 2-8°C Ferit de lumina
4 Ziua
4546
Nivel de evidență A

poliolefine Glucoza 5% 4,9 mg/ml 22-25°C Lumina
1 Ziua
4546
Nivel de evidență A


  Mentions Légales