Posledná aktualizácia :
27/01/2026
Protinádorová liečba   Pemetrexed diarginine  
Injekcia
Stabilita roztokov Stabilita v zmesiach Faktory ovplyvňujúce stabilitu Kompatibility spôsob podania Odkazy na literatúru PDF
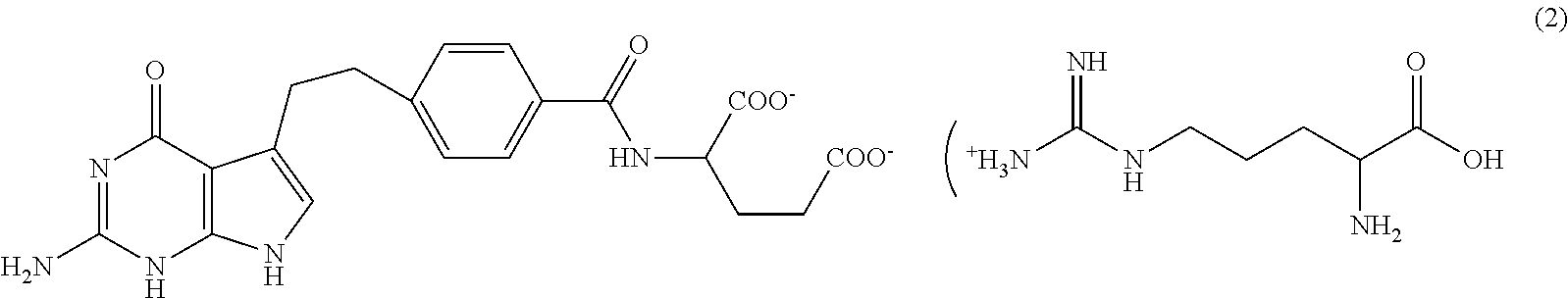
   Chemický vzorec  

Obchodný názov   Obchodný názov     

Obchodné názvy sú orientačné, a zloženie pomocných látok sa môže líšiť v závislosti od krajiny a výrobcu.

Pemetrexed Mylan Francúzsko
Pemetrexed Ohre Pharma Francúzsko
Pemetrexed Zentiva Francúzsko
Stabilita roztokov   Injekcia   Stabilita roztokov : Pemetrexed diarginine     
obal rozpúšťadlo koncentrácia teplota uchovávanie Trvanie stability odkazy na lieteratúru
Sklo Žiadny 25 mg/ml 2-8°C Chránené pred svetlom
14 dní
4546
Úroveň dôkazov A

Sklo Žiadny 25 mg/ml 2-8°C Za svetla alebo chránené pred svetlom
7 dní
4702
Úroveň dôkazov A+

Sklo Žiadny 25 mg/ml 22-25°C Za svetla
1 dní
4546
Úroveň dôkazov A

iastočne použité injekčné liekovky Žiadny 25 mg/ml 2-8°C Chránené pred svetlom
7 dní
4702
Úroveň dôkazov A+

iastočne použité injekčné liekovky Žiadny 25 mg/ml 25°C Za svetla
4 dní
4702
Úroveň dôkazov A+

polyolefín 0,9% chlorid sodný 12 mg/ml 2-8°C Chránené pred svetlom
4 dní
4546
Úroveň dôkazov A

polyolefín 0,9% chlorid sodný 12 mg/ml 22-25°C Za svetla
1 dní
4546
Úroveň dôkazov A

polyolefín 0,9% chlorid sodný 3 & 12 mg/ml 2-8°C Za svetla alebo chránené pred svetlom
28 dní
4702
Úroveň dôkazov A+

polyolefín 0,9% chlorid sodný 3 & 12 mg/ml 20-25°C Za svetla alebo chránené pred svetlom
7 dní
4702
Úroveň dôkazov A+

polyolefín 0,9% chlorid sodný 4,9 mg/ml 2-8°C Chránené pred svetlom
4 dní
4546
Úroveň dôkazov A

polyolefín 0,9% chlorid sodný 4,9 mg/ml 22-25°C Za svetla
1 dní
4546
Úroveň dôkazov A

polyolefín 5% glukóza 12 mg/ml 2-8°C Chránené pred svetlom
4 dní
4546
Úroveň dôkazov A

polyolefín 5% glukóza 12 mg/ml 22-25°C Za svetla
1 dní
4546
Úroveň dôkazov A

polyolefín 5% glukóza 3 & 12 mg/ml 2-8°C Za svetla alebo chránené pred svetlom
28 dní
4702
Úroveň dôkazov A+

polyolefín 5% glukóza 3 & 12 mg/ml 20-25°C Za svetla alebo chránené pred svetlom
7 dní
4702
Úroveň dôkazov A+

polyolefín 5% glukóza 4,9 mg/ml 2-8°C Chránené pred svetlom
4 dní
4546
Úroveň dôkazov A

polyolefín 5% glukóza 4,9 mg/ml 22-25°C Za svetla
1 dní
4546
Úroveň dôkazov A


  Mentions Légales