Τελευταία ενημέρωση :
27/01/2026
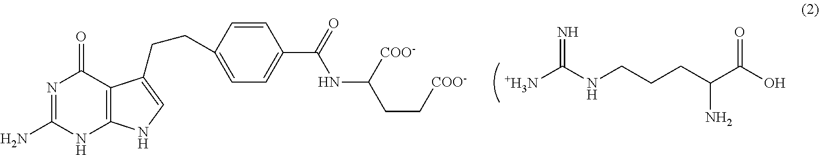
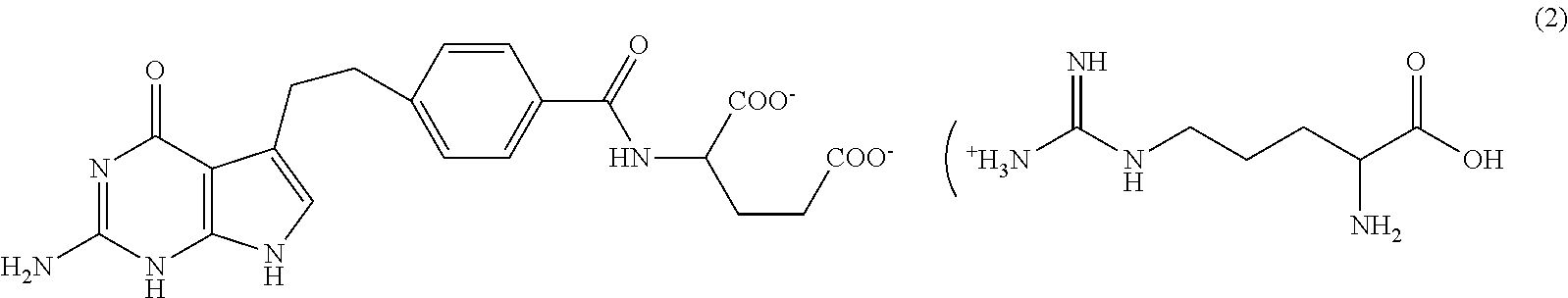
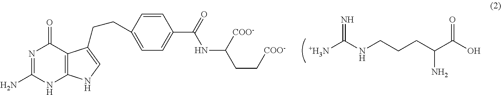
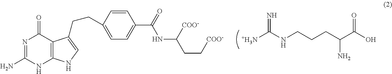
φάρμακο κατά του καρκίνου   Pemetrexed diarginine  
Ενέσιμο
Σταθερότητα διαλυμάτων Σταθερότητα σε μίγματα Παράγοντας που επηρεάζει τη σταθερότητα Συμβατότητες Τρόπος χορήγησης Βιβλιογραφία pdf
   χημική δομή  

Εμπορική ονομασία   Εμπορική ονομασία     

Οι εμπορικές ονομασίες είναι ενδεικτικές και η σύνθεση των εκδόχων μπορεί να διαφέρει ανάλογα με τη χώρα και τα εργαστήρια

Pemetrexed Mylan Γαλλία
Pemetrexed Ohre Pharma Γαλλία
Pemetrexed Zentiva Γαλλία
Σταθερότητα διαλυμάτων   Ενέσιμο   Σταθερότητα διαλυμάτων : Pemetrexed diarginine     
Υποδοχέας Διαλυτικό Συγκέντρωση Θερμοκρασία Αποθήκευση Διάρκεια σταθερότητας Βιβλιογραφία
Ύαλος Ουδέν 25 mg/ml 2-8°C Προστατεύετε από το φως
14 Ημέρα
4546
Επίπεδο των αποδεικτικών στοιχείων A

Ύαλος Ουδέν 25 mg/ml 2-8°C Με ή χωρίς φως
7 Ημέρα
4702
Επίπεδο των αποδεικτικών στοιχείων A+

Ύαλος Ουδέν 25 mg/ml 22-25°C Φως
1 Ημέρα
4546
Επίπεδο των αποδεικτικών στοιχείων A

μερικώς χρησιμοποιημένα μπουκάλια Ουδέν 25 mg/ml 2-8°C Προστατεύετε από το φως
7 Ημέρα
4702
Επίπεδο των αποδεικτικών στοιχείων A+

μερικώς χρησιμοποιημένα μπουκάλια Ουδέν 25 mg/ml 25°C Φως
4 Ημέρα
4702
Επίπεδο των αποδεικτικών στοιχείων A+

Πολυολεφίνη Χλωριούχο νάτριο 0,9% 12 mg/ml 2-8°C Προστατεύετε από το φως
4 Ημέρα
4546
Επίπεδο των αποδεικτικών στοιχείων A

Πολυολεφίνη Χλωριούχο νάτριο 0,9% 12 mg/ml 22-25°C Φως
1 Ημέρα
4546
Επίπεδο των αποδεικτικών στοιχείων A

Πολυολεφίνη Χλωριούχο νάτριο 0,9% 3 & 12 mg/ml 2-8°C Με ή χωρίς φως
28 Ημέρα
4702
Επίπεδο των αποδεικτικών στοιχείων A+

Πολυολεφίνη Χλωριούχο νάτριο 0,9% 3 & 12 mg/ml 20-25°C Με ή χωρίς φως
7 Ημέρα
4702
Επίπεδο των αποδεικτικών στοιχείων A+

Πολυολεφίνη Χλωριούχο νάτριο 0,9% 4,9 mg/ml 2-8°C Προστατεύετε από το φως
4 Ημέρα
4546
Επίπεδο των αποδεικτικών στοιχείων A

Πολυολεφίνη Χλωριούχο νάτριο 0,9% 4,9 mg/ml 22-25°C Φως
1 Ημέρα
4546
Επίπεδο των αποδεικτικών στοιχείων A

Πολυολεφίνη Γλυκόζη 5% 12 mg/ml 2-8°C Προστατεύετε από το φως
4 Ημέρα
4546
Επίπεδο των αποδεικτικών στοιχείων A

Πολυολεφίνη Γλυκόζη 5% 12 mg/ml 22-25°C Φως
1 Ημέρα
4546
Επίπεδο των αποδεικτικών στοιχείων A

Πολυολεφίνη Γλυκόζη 5% 3 & 12 mg/ml 2-8°C Με ή χωρίς φως
28 Ημέρα
4702
Επίπεδο των αποδεικτικών στοιχείων A+

Πολυολεφίνη Γλυκόζη 5% 3 & 12 mg/ml 20-25°C Με ή χωρίς φως
7 Ημέρα
4702
Επίπεδο των αποδεικτικών στοιχείων A+

Πολυολεφίνη Γλυκόζη 5% 4,9 mg/ml 2-8°C Προστατεύετε από το φως
4 Ημέρα
4546
Επίπεδο των αποδεικτικών στοιχείων A

Πολυολεφίνη Γλυκόζη 5% 4,9 mg/ml 22-25°C Φως
1 Ημέρα
4546
Επίπεδο των αποδεικτικών στοιχείων A


  Mentions Légales