Seneste opdatering :
27/01/2026
anticancer medicin   Pemetrexed diarginine  
Injektion
Stabilitet i (vandige) opløsninger Stabilitet i blandinger Faktorer der påvirker stabiliteten Kompatibilitet Administrationsvej Bibliografi pdf
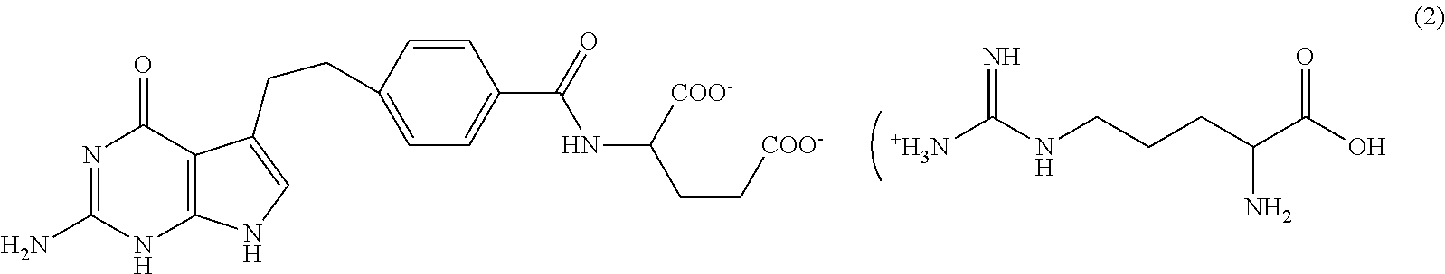
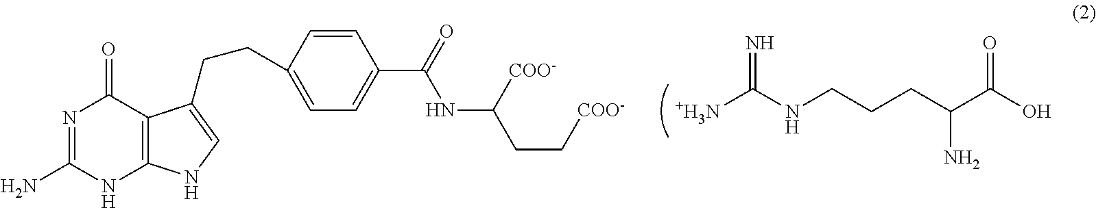
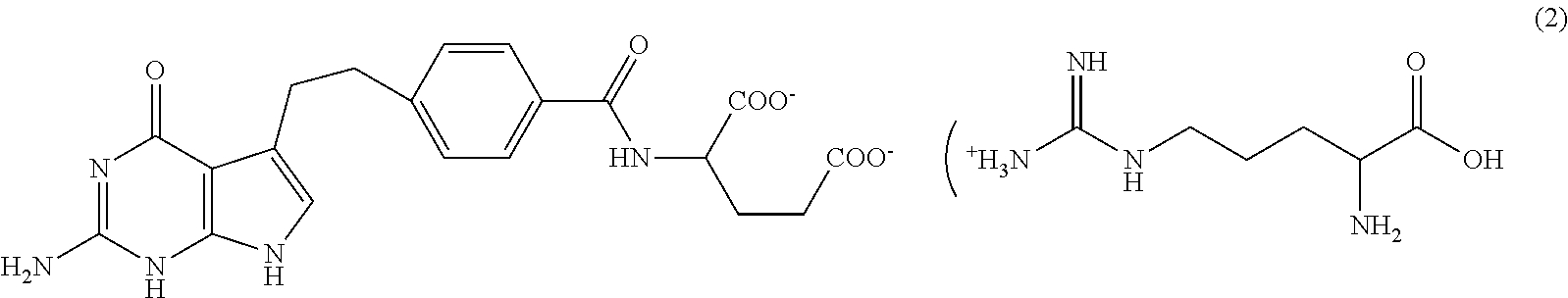
   Kemisk struktur  

Handelsnavn   Handelsnavn     

Handel navne er vejledende og hjælpestoffer sammensætning kan være forskellig afhængigt af landet og laboratorier

Pemetrexed Mylan Frankrig
Pemetrexed Ohre Pharma Frankrig
Pemetrexed Zentiva Frankrig
Stabilitet i (vandige) opløsninger   Injektion   Stabilitet i (vandige) opløsninger : Pemetrexed diarginine     
Beholder Opløsningsmiddel Koncentration Temperatur Konservering Varighed af stabilitet Bibliografi
Glas Ingen 25 mg/ml 2-8°C Beskyt mod lys
14 Dag
4546
Level af bevismateriale A

Glas Ingen 25 mg/ml 2-8°C Med eller uden lys
7 Dag
4702
Level af bevismateriale A+

Glas Ingen 25 mg/ml 22-25°C Lys
1 Dag
4546
Level af bevismateriale A

delvist brugte flasker Ingen 25 mg/ml 2-8°C Beskyt mod lys
7 Dag
4702
Level af bevismateriale A+

delvist brugte flasker Ingen 25 mg/ml 25°C Lys
4 Dag
4702
Level af bevismateriale A+

Polyolefin 0,9 % Natriumklorid 12 mg/ml 2-8°C Beskyt mod lys
4 Dag
4546
Level af bevismateriale A

Polyolefin 0,9 % Natriumklorid 12 mg/ml 22-25°C Lys
1 Dag
4546
Level af bevismateriale A

Polyolefin 0,9 % Natriumklorid 3 & 12 mg/ml 2-8°C Med eller uden lys
28 Dag
4702
Level af bevismateriale A+

Polyolefin 0,9 % Natriumklorid 3 & 12 mg/ml 20-25°C Med eller uden lys
7 Dag
4702
Level af bevismateriale A+

Polyolefin 0,9 % Natriumklorid 4,9 mg/ml 2-8°C Beskyt mod lys
4 Dag
4546
Level af bevismateriale A

Polyolefin 0,9 % Natriumklorid 4,9 mg/ml 22-25°C Lys
1 Dag
4546
Level af bevismateriale A

Polyolefin 5 % Glukose 12 mg/ml 2-8°C Beskyt mod lys
4 Dag
4546
Level af bevismateriale A

Polyolefin 5 % Glukose 12 mg/ml 22-25°C Lys
1 Dag
4546
Level af bevismateriale A

Polyolefin 5 % Glukose 3 & 12 mg/ml 2-8°C Med eller uden lys
28 Dag
4702
Level af bevismateriale A+

Polyolefin 5 % Glukose 3 & 12 mg/ml 20-25°C Med eller uden lys
7 Dag
4702
Level af bevismateriale A+

Polyolefin 5 % Glukose 4,9 mg/ml 2-8°C Beskyt mod lys
4 Dag
4546
Level af bevismateriale A

Polyolefin 5 % Glukose 4,9 mg/ml 22-25°C Lys
1 Dag
4546
Level af bevismateriale A


  Mentions Légales