Poslední aktualizace :
27/01/2026
vėžio narkotikų   Pemetrexed diarginine  
Įpurškimas
Tirpalų stabilumas Mišinių stabilumas Stabilumą lemiantys veiksniai Suderinamumas Leidimo būdai Bibliografija pdf
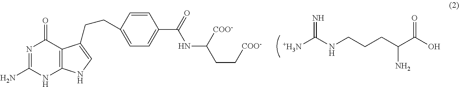
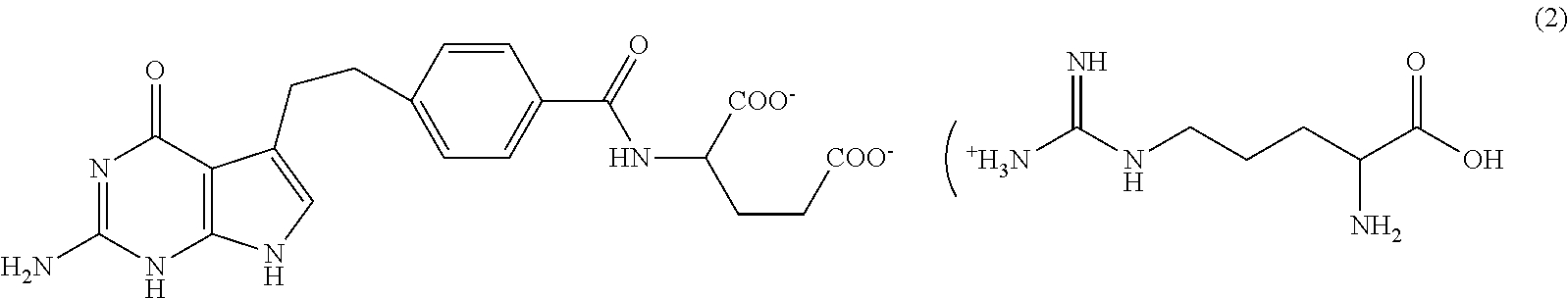
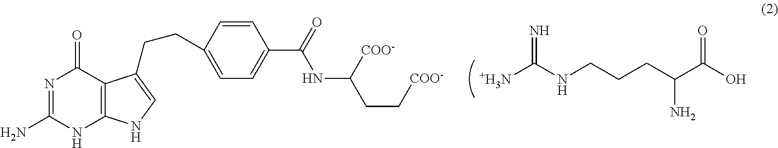
   Cheminė sandara  

Prekinis pavadinimas   Prekinis pavadinimas     

Trade names are indicative and excipients composition can be different depending on the country and manufacturers

Pemetrexed Mylan Prancūzija
Pemetrexed Ohre Pharma Prancūzija
Pemetrexed Zentiva Prancūzija
Tirpalų stabilumas   Įpurškimas   Tirpalų stabilumas : Pemetrexed diarginine     
Pakuotė Tirpiklis Koncentracija Temperatūra Laikymas Stabilumo trukmė Nuorodos
Stiklas Nėra 25 mg/ml 2-8°C Apsaugotas nuo šviesos
14 Diena
4546
Bandymo lygis A

Stiklas Nėra 25 mg/ml 2-8°C Ir šviesoje, ir tamsoje
7 Diena
4702
Bandymo lygis A+

Stiklas Nėra 25 mg/ml 22-25°C Šviesa
1 Diena
4546
Bandymo lygis A

dalinai naudotų butelių Nėra 25 mg/ml 2-8°C Apsaugotas nuo šviesos
7 Diena
4702
Bandymo lygis A+

dalinai naudotų butelių Nėra 25 mg/ml 25°C Šviesa
4 Diena
4702
Bandymo lygis A+

Poliolefinas Natrio chloridas 0,9% 12 mg/ml 2-8°C Apsaugotas nuo šviesos
4 Diena
4546
Bandymo lygis A

Poliolefinas Natrio chloridas 0,9% 12 mg/ml 22-25°C Šviesa
1 Diena
4546
Bandymo lygis A

Poliolefinas Natrio chloridas 0,9% 3 & 12 mg/ml 2-8°C Ir šviesoje, ir tamsoje
28 Diena
4702
Bandymo lygis A+

Poliolefinas Natrio chloridas 0,9% 3 & 12 mg/ml 20-25°C Ir šviesoje, ir tamsoje
7 Diena
4702
Bandymo lygis A+

Poliolefinas Natrio chloridas 0,9% 4,9 mg/ml 2-8°C Apsaugotas nuo šviesos
4 Diena
4546
Bandymo lygis A

Poliolefinas Natrio chloridas 0,9% 4,9 mg/ml 22-25°C Šviesa
1 Diena
4546
Bandymo lygis A

Poliolefinas Gliukozė 5% 12 mg/ml 2-8°C Apsaugotas nuo šviesos
4 Diena
4546
Bandymo lygis A

Poliolefinas Gliukozė 5% 12 mg/ml 22-25°C Šviesa
1 Diena
4546
Bandymo lygis A

Poliolefinas Gliukozė 5% 3 & 12 mg/ml 2-8°C Ir šviesoje, ir tamsoje
28 Diena
4702
Bandymo lygis A+

Poliolefinas Gliukozė 5% 3 & 12 mg/ml 20-25°C Ir šviesoje, ir tamsoje
7 Diena
4702
Bandymo lygis A+

Poliolefinas Gliukozė 5% 4,9 mg/ml 2-8°C Apsaugotas nuo šviesos
4 Diena
4546
Bandymo lygis A

Poliolefinas Gliukozė 5% 4,9 mg/ml 22-25°C Šviesa
1 Diena
4546
Bandymo lygis A


  Mentions Légales