Last update :
27/01/2026
Anticancer drug   Pemetrexed diarginine  
injection
Stability in solutions Stability of mixtures Factors which affect stability Compatibility Route of administration References pdf
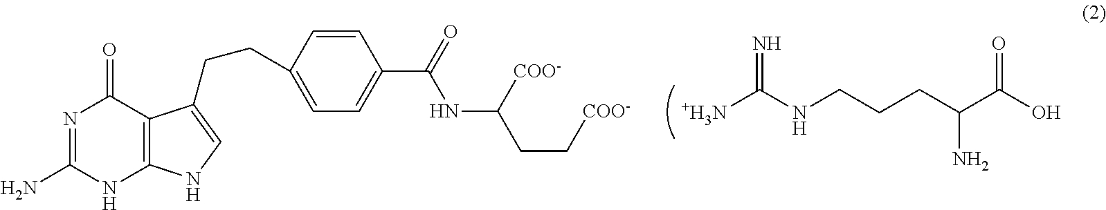
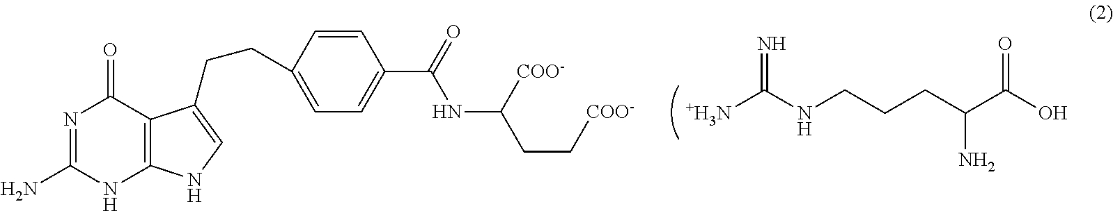
   Chemical structure  

Tradename   Tradename     

Trade names are indicative and excipients composition can be different depending on the country and manufacturers

Pemetrexed Mylan France
Pemetrexed Ohre Pharma France
Pemetrexed Zentiva France
Stability in solutions   injection   Stability in solutions : Pemetrexed diarginine     
Container Solvent Concentration Temperature Storage Duration of stability References
Glass None 25 mg/ml 2-8°C Protect from light
14 Day
4546
Level of evidence A

Glass None 25 mg/ml 2-8°C With or without light
7 Day
4702
Level of evidence A+

Glass None 25 mg/ml 22-25°C Light
1 Day
4546
Level of evidence A

partially used vials None 25 mg/ml 2-8°C Protect from light
7 Day
4702
Level of evidence A+

partially used vials None 25 mg/ml 25°C Light
4 Day
4702
Level of evidence A+

Polyolefine Sodium chloride 0,9% 12 mg/ml 2-8°C Protect from light
4 Day
4546
Level of evidence A

Polyolefine Sodium chloride 0,9% 12 mg/ml 22-25°C Light
1 Day
4546
Level of evidence A

Polyolefine Sodium chloride 0,9% 3 & 12 mg/ml 2-8°C With or without light
28 Day
4702
Level of evidence A+

Polyolefine Sodium chloride 0,9% 3 & 12 mg/ml 20-25°C With or without light
7 Day
4702
Level of evidence A+

Polyolefine Sodium chloride 0,9% 4,9 mg/ml 2-8°C Protect from light
4 Day
4546
Level of evidence A

Polyolefine Sodium chloride 0,9% 4,9 mg/ml 22-25°C Light
1 Day
4546
Level of evidence A

Polyolefine Glucose 5% 12 mg/ml 2-8°C Protect from light
4 Day
4546
Level of evidence A

Polyolefine Glucose 5% 12 mg/ml 22-25°C Light
1 Day
4546
Level of evidence A

Polyolefine Glucose 5% 3 & 12 mg/ml 2-8°C With or without light
28 Day
4702
Level of evidence A+

Polyolefine Glucose 5% 3 & 12 mg/ml 20-25°C With or without light
7 Day
4702
Level of evidence A+

Polyolefine Glucose 5% 4,9 mg/ml 2-8°C Protect from light
4 Day
4546
Level of evidence A

Polyolefine Glucose 5% 4,9 mg/ml 22-25°C Light
1 Day
4546
Level of evidence A


  Mentions Légales