最新更新 :
27/01/2026
細胞増殖抑制薬   Pemetrexed diarginine  
注射薬
溶媒内の安定性 混合時の安定性 安定性に影響する因子 互換性 投与経路 引用文献 PDF
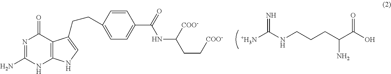
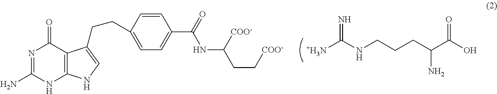
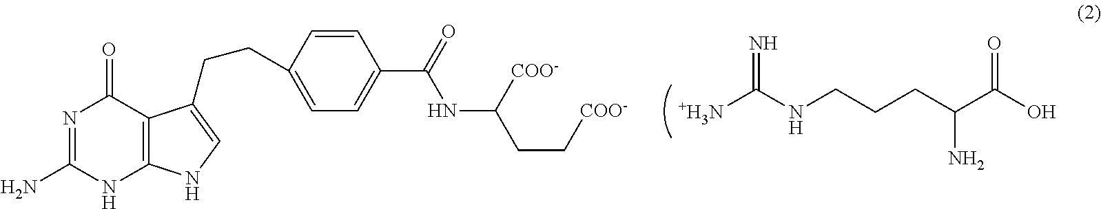
   化学構造  

商品名   商品名     

商品名、賦形剤は国、製薬会社ごとに異なることがあります

Pemetrexed Mylan フランス
Pemetrexed Ohre Pharma フランス
Pemetrexed Zentiva フランス
溶媒内の安定性   注射薬   溶媒内の安定性 : Pemetrexed diarginine     
容器 溶媒 濃度 温度 保管 安定期間 引用文献
ガラス なし 25 mg/ml 2-8°C 遮光
14 日
4546
エビデンスレベル A

ガラス なし 25 mg/ml 2-8°C 光/遮光
7 日
4702
エビデンスレベル A+

ガラス なし 25 mg/ml 22-25°C 光
1 日
4546
エビデンスレベル A

一部使用済みのボトル なし 25 mg/ml 2-8°C 遮光
7 日
4702
エビデンスレベル A+

一部使用済みのボトル なし 25 mg/ml 25°C 光
4 日
4702
エビデンスレベル A+

ポリオレフィン NaCl 0,9% 12 mg/ml 2-8°C 遮光
4 日
4546
エビデンスレベル A

ポリオレフィン NaCl 0,9% 12 mg/ml 22-25°C 光
1 日
4546
エビデンスレベル A

ポリオレフィン NaCl 0,9% 3 & 12 mg/ml 2-8°C 光/遮光
28 日
4702
エビデンスレベル A+

ポリオレフィン NaCl 0,9% 3 & 12 mg/ml 20-25°C 光/遮光
7 日
4702
エビデンスレベル A+

ポリオレフィン NaCl 0,9% 4,9 mg/ml 2-8°C 遮光
4 日
4546
エビデンスレベル A

ポリオレフィン NaCl 0,9% 4,9 mg/ml 22-25°C 光
1 日
4546
エビデンスレベル A

ポリオレフィン グルコース5% 12 mg/ml 2-8°C 遮光
4 日
4546
エビデンスレベル A

ポリオレフィン グルコース5% 12 mg/ml 22-25°C 光
1 日
4546
エビデンスレベル A

ポリオレフィン グルコース5% 3 & 12 mg/ml 2-8°C 光/遮光
28 日
4702
エビデンスレベル A+

ポリオレフィン グルコース5% 3 & 12 mg/ml 20-25°C 光/遮光
7 日
4702
エビデンスレベル A+

ポリオレフィン グルコース5% 4,9 mg/ml 2-8°C 遮光
4 日
4546
エビデンスレベル A

ポリオレフィン グルコース5% 4,9 mg/ml 22-25°C 光
1 日
4546
エビデンスレベル A


  Mentions Légales