Viimeisin päivitys :
27/01/2026
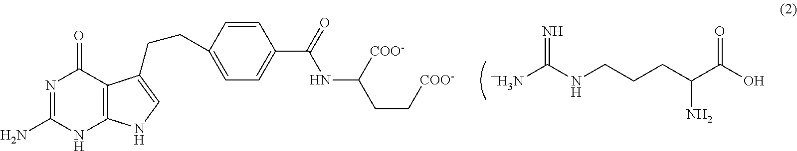
syöpälääke   Pemetrexed diarginine  
Injektioneste
Stabilius liuoksessa Stabilius seoksissa Tekijät, jotka vaikuttavat stabiliuteen Yhteensopivuus Antotapa Viitteet pdf
   Kemiallinen rakenne  

Kauppanimi   Kauppanimi     

Trade names are indicative and excipients composition can be different depending on the country and manufacturers

Pemetrexed Mylan Ranska
Pemetrexed Ohre Pharma Ranska
Pemetrexed Zentiva Ranska
Stabilius liuoksessa   Injektioneste   Stabilius liuoksessa : Pemetrexed diarginine     
Astia Liuotin Konsentraatio Lämpötila Säilytys Vakauden kesto Viitteet
Lasi Ei mikään 25 mg/ml 2-8°C Suojattava valolta
14 Päivä
4546
Näytön laajuus A

Lasi Ei mikään 25 mg/ml 2-8°C Valossa tai suojassa valolta
7 Päivä
4702
Näytön laajuus A+

Lasi Ei mikään 25 mg/ml 22-25°C Valo
1 Päivä
4546
Näytön laajuus A

osittain käytetyt pullot Ei mikään 25 mg/ml 2-8°C Suojattava valolta
7 Päivä
4702
Näytön laajuus A+

osittain käytetyt pullot Ei mikään 25 mg/ml 25°C Valo
4 Päivä
4702
Näytön laajuus A+

Polyolefiini Natriumkloridi 0,9% 12 mg/ml 2-8°C Suojattava valolta
4 Päivä
4546
Näytön laajuus A

Polyolefiini Natriumkloridi 0,9% 12 mg/ml 22-25°C Valo
1 Päivä
4546
Näytön laajuus A

Polyolefiini Natriumkloridi 0,9% 3 & 12 mg/ml 2-8°C Valossa tai suojassa valolta
28 Päivä
4702
Näytön laajuus A+

Polyolefiini Natriumkloridi 0,9% 3 & 12 mg/ml 20-25°C Valossa tai suojassa valolta
7 Päivä
4702
Näytön laajuus A+

Polyolefiini Natriumkloridi 0,9% 4,9 mg/ml 2-8°C Suojattava valolta
4 Päivä
4546
Näytön laajuus A

Polyolefiini Natriumkloridi 0,9% 4,9 mg/ml 22-25°C Valo
1 Päivä
4546
Näytön laajuus A

Polyolefiini Glukoosi 5% 12 mg/ml 2-8°C Suojattava valolta
4 Päivä
4546
Näytön laajuus A

Polyolefiini Glukoosi 5% 12 mg/ml 22-25°C Valo
1 Päivä
4546
Näytön laajuus A

Polyolefiini Glukoosi 5% 3 & 12 mg/ml 2-8°C Valossa tai suojassa valolta
28 Päivä
4702
Näytön laajuus A+

Polyolefiini Glukoosi 5% 3 & 12 mg/ml 20-25°C Valossa tai suojassa valolta
7 Päivä
4702
Näytön laajuus A+

Polyolefiini Glukoosi 5% 4,9 mg/ml 2-8°C Suojattava valolta
4 Päivä
4546
Näytön laajuus A

Polyolefiini Glukoosi 5% 4,9 mg/ml 22-25°C Valo
1 Päivä
4546
Näytön laajuus A


  Mentions Légales