zadnja posodobitev :
27/01/2026
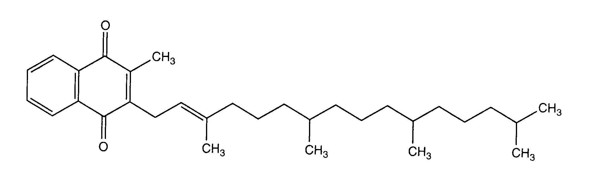
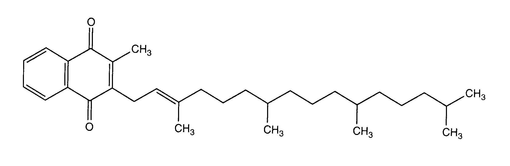
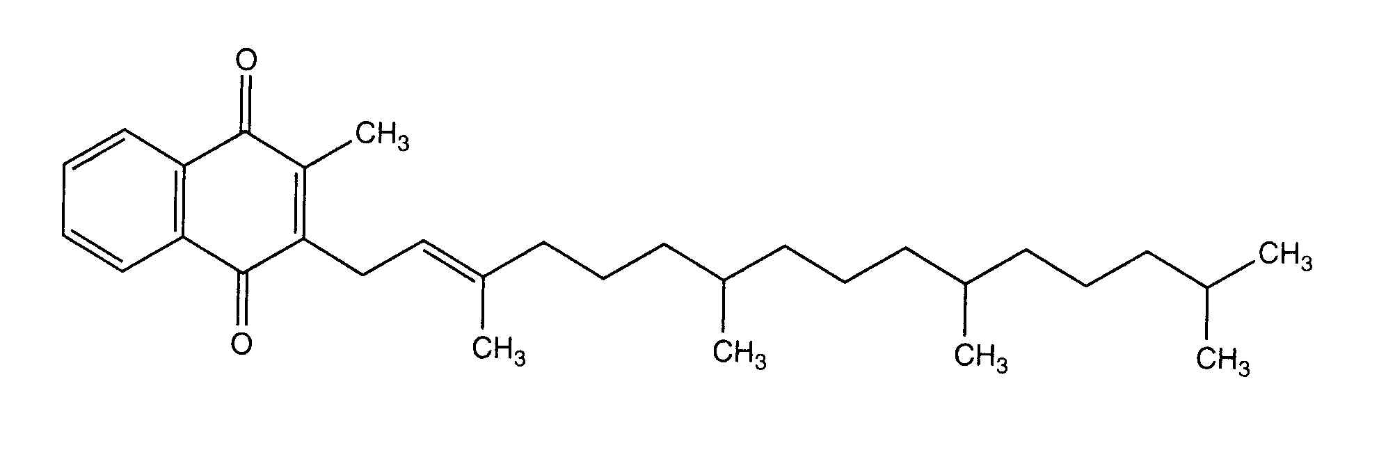
Vitamin   Phytomenadione  
Brizgalka
Peroralna raztopina
Stabilnost raztopine Stabilnost mešanice Faktorji, ki vplivajo na stabilnost Kompatibilnost način aplikacije Viri pdf
   Kemična formula  

Lastniško ime   Lastniško ime     

Sestava pomožnih snovi je med paralelami lahko različna

Adcokion Egipt
Amidalak Mehika
Amri-K Egipt
Aquamephyton Združene države Amerike
Epikavit Egipt
Haemokion Egipt
Hyvit Brazilija
Kanakion Brazilija, Portugalska
Kavit Brazilija
Kenadion Indija
Kisan Malezija
Konakion Argentina, Avstrija, Belgija, Čile, Danska, Egipt, Ekvador, Finska, Grčija, Hrvaška, Irska, Islandija, Italija, Kolumbija, Luksemburg, Madžarska, Maroko, Nemčija, Nizozemska, Norveška, nova Zelandija, Poljska, Savdska Arabija, Španija, Švedska, Švica, Turčija, Velika Britanija, Združeni arabski emirati
Oskavit Iran
Rupek Argentina
Vikadic Iran
Vitatron Brazilija
Kompatibilnost   Brizgalka   Kompatibilnost : Phytomenadione              
Ta zaslon prikazuje združljivost ali nezdružljivost s, v tem primeru, vrsto nezdružljivosti (padavine, sprememba barve, sprememba emulzije itd.). Tu prikazane združljivosti so večinoma samo fizične, pri čemer se kemijska stabilnost vsake molekule redko ocenjuje. Vrednotenje teh zmesi so preučevali, da bi preučili možnost pacientovega dajanja na mestu Y. Teh podatkov ni mogoče uporabiti za pripravo mešanic v vrečkah ali brizgah. Ta vrsta informacij je na voljo na zaslonu "Obstojnost v mešanici".
Sestava Topilo Viri

  Mentions Légales