Viimeisin päivitys :
27/01/2026
Vitamiinit   Phytomenadione  
Injektioneste
Oraaliliuos
Stabilius liuoksessa Stabilius seoksissa Tekijät, jotka vaikuttavat stabiliuteen Yhteensopivuus Antotapa Viitteet pdf
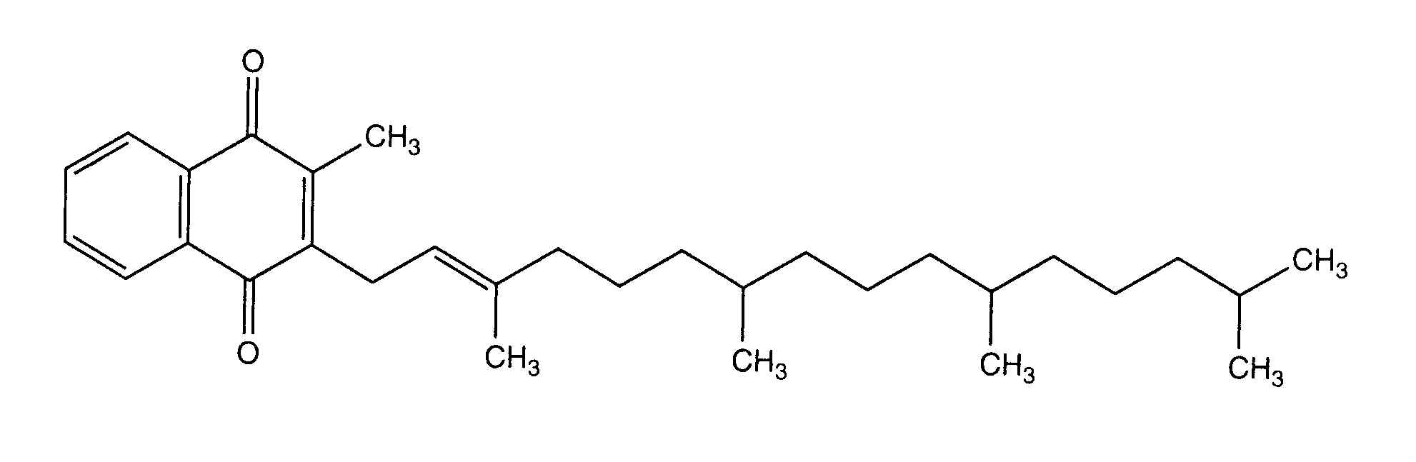
   Kemiallinen rakenne  

Kauppanimi   Kauppanimi     

Trade names are indicative and excipients composition can be different depending on the country and manufacturers

Adcokion Egypti
Amidalak Meksiko
Amri-K Egypti
Aquamephyton Yhdysvallat
Epikavit Egypti
Haemokion Egypti
Hyvit Brasilia
Kanakion Brasilia, Portugali
Kavit Brasilia
Kenadion Intia
Kisan Malesia
Konakion Argentiina, Belgia, Chile, Ecuador, Egypti, Espanja, Hollanti, Irlanti, Islanti, Iso-Britannia, Italia, Itävalta, Kolumbia, Kreikka, Kroatia, Luxemburg, Marokko, New Zealand, Norja, Puola, Ruotsi, Saksa, Saudi-Arabia, Suomi, Sveitsi, Tanska, Turkki, Unkari, Yhdistyneet arabiemiirikunnat
Oskavit Iran
Rupek Argentiina
Vikadic Iran
Vitatron Brasilia
Yhteensopivuus   Injektioneste   Yhteensopivuus : Phytomenadione              
Tämä näyttö osoittaa yhteensopivuuden tai yhteensopimattomuuden yhteensopimattomuuden tyypin kanssa (saostuminen, värinmuutos, emulsiomuutos jne.). Tässä esitetty yhteensopivuus on useimmissa tapauksissa vain fysikaalinen, ja kunkin molekyylin kemiallista stabiilisuutta arvioidaan harvoin. Näiden seosten arviointia tutkittiin mahdollisuuden antaa Y-kohta potilaalle. Näitä tietoja ei voida käyttää seosten valmistamiseen etukäteen pusseissa tai ruiskuissa. Tämäntyyppiset tiedot ovat saatavilla "Stabiilisuus seoksessa" -näytössä.
Yhdiste Liuotin Viitteet

  Mentions Légales