Dernière mise à jour :
27/01/2026
Vitamine   Phytomenadione  
injectable
Solution buvable
Stabilité des solutions Stabilité en mélange Facteur influençant la stabilité Compatibilités Voie d’administration Bibliographie pdf
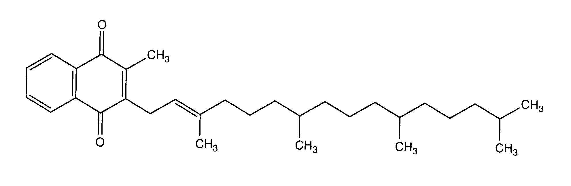
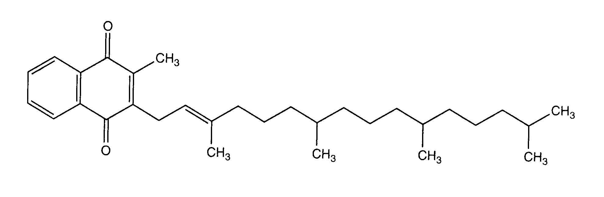
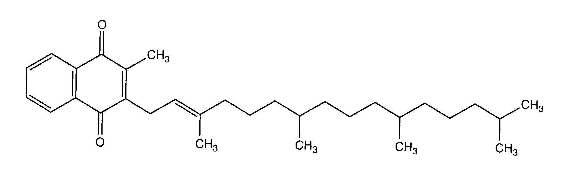
   Structure chimique  

Noms commerciaux   Noms commerciaux     

Les noms commerciaux sont donnés à titre indicatif et la composition en excipients peut être différente selon les pays et selon les laboratoires

Adcokion Egypte
Amidalak Mexique
Amri-K Egypte
Aquamephyton Etats Unis d’Amérique
Epikavit Egypte
Haemokion Egypte
Hyvit Brésil
Kanakion Brésil, Portugal
Kavit Brésil
Kenadion Inde
Kisan Malaisie
Konakion Allemagne, Arabie Saoudite, Argentine, Autriche, Belgique, Chili, Colombie, Croatie, Danemark, Egypte, Emirats Arabes Unis , Equateur, Espagne, Finlande, Grande Bretagne, Grèce, Hongrie, Irlande, Islande, Italie, Luxembourg, Maroc, Norvège, Nouvelle Zélande, Pays bas, Pologne, Suède, Suisse, Turquie
Oskavit Iran
Rupek Argentine
Vikadic Iran
Vitatron Brésil
Compatibilités   injectable   Compatibilités : Phytomenadione              
Cet écran indique les compatibilités ou incompatibilités avec, dans ce cas, le type d'incompatibilité (précipitation, changement de couleur, modification d'une émulsion, etc.). Les compatibilités présentées ici sont pour la plupart uniquement physiques, la stabilité chimique de chaque molécule étant rarement évaluée. L'évaluation de ces mélanges a été étudiée pour envisager la possibilité d'une administration en site Y au patient. Ces données ne peuvent pas être utilisées pour préparer des mélanges à l'avance dans des poches de perfusion ou des seringues. Ce type d'informations est disponible dans l'écran « Stabilité en mélange ».
Molécule Solvant Bibliographie

  Mentions Légales