Last update :
27/01/2026
Vitamin   Phytomenadione  
injection
Oral solution
Stability in solutions Stability of mixtures Factors which affect stability Compatibility Route of administration References pdf
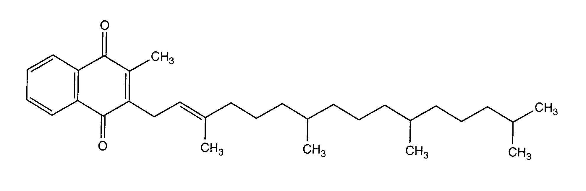
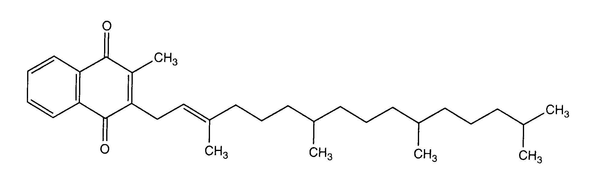
   Chemical structure  

Tradename   Tradename     

Trade names are indicative and excipients composition can be different depending on the country and manufacturers

Adcokion Egypt
Amidalak Mexico
Amri-K Egypt
Aquamephyton United States of America
Epikavit Egypt
Haemokion Egypt
Hyvit Brazil
Kanakion Brazil, Portugal
Kavit Brazil
Kenadion India
Kisan Malaysia
Konakion Argentina, Austria, Belgium, Chile, Colombia, Croatia, Denmark, Ecuador, Egypt, Finland, Germany, Great Britain, Greece, Hungary, Iceland, Ireland, Italy, Luxembourg, Morocco, Netherlands, New Zealand, Norway, Poland, Saudi Arabia, Spain, Sweden, Switzerland, Turkey, United Arab Emirates
Oskavit Iran
Rupek Argentina
Vikadic Iran
Vitatron Brazil
Compatibility   injection   Compatibility : Phytomenadione              
This screen indicates the compatibilities or incompatibilities with, in this case, the type of incompatibility (precipitation, color change, modification of an emulsion, etc.). The compatibilities shown here are mostly physical only, with the chemical stability of each molecule rarely being assessed. The evaluation of these mixtures was studied to consider the possibility of Y-site administration to the patient. These data cannot be used for making mixtures in advance in bags or syringes. This type of information is available in the screen "Stability in mixture ».
Compound Solvent References

  Mentions Légales