Pēdējā atjaunošana :
05/12/2025
Infostab
Saraksti
Kopsavilkums
Meklēt saderības
Y-savienojuma saderības tabula
Literatūras saraksts
pētniecības grupas
valistab
plakāts
Savienojumi
sponsori
Autori
Lietošanas instrukcija
Newsletter
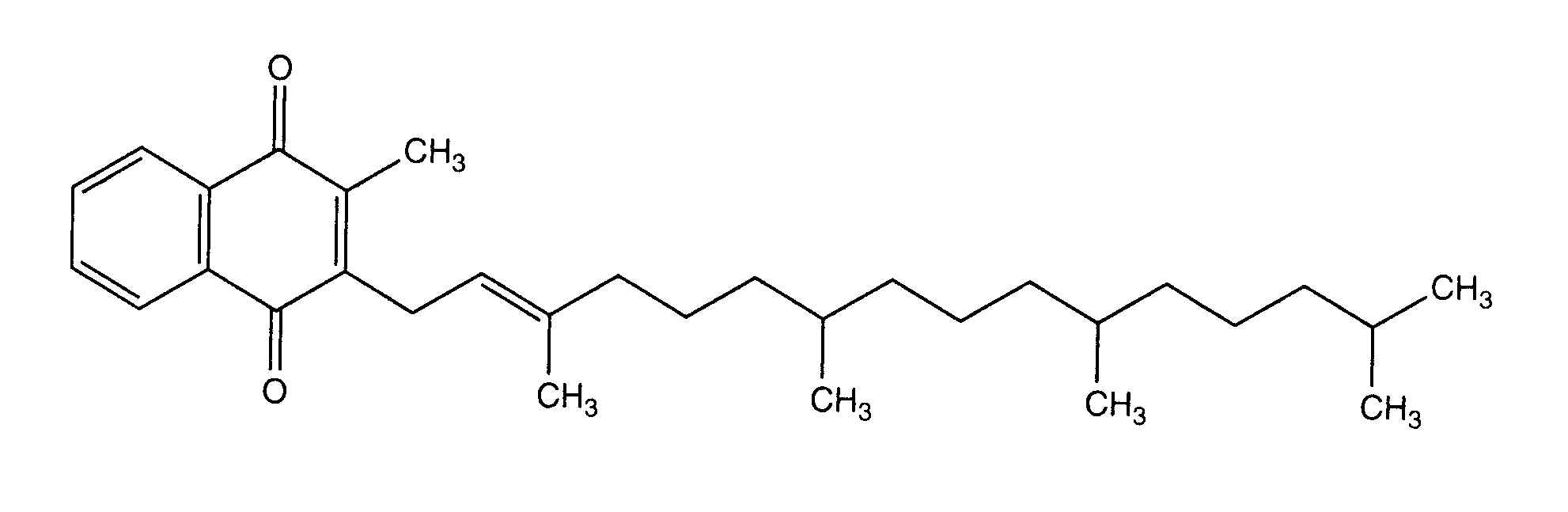
Phytomenadione
Ķīmiskā uzbūve
Oriģinālais nosaukums
Tirdzniecības nosaukumi ir apzīmējoši un palīgvielas var atšķirties dažādām valstīm un laboratorijām
Adcokion
Ēģipte
Amidalak
Meksika
Amri-K
Ēģipte
Aquamephyton
Amerikas Savienotās Valstis
Epikavit
Ēģipte
Haemokion
Ēģipte
Hyvit
Brazīlija
Kanakion
Brazīlija, Portugāle
Kavit
Brazīlija
Kenadion
Indija
Kisan
Malaizija
Konakion
Apvienotie Arābu Emirāti, Argentīna, Austrija, Beļģija, Čīle, Dānija, Ēģipte, Ekvadora, Grieķija, Holande, Horvātija, Īrija, Islande, Itālija, Jaunzēlande, Kolumbija, Lielbritānija, Luksemburga, Maroka, Norvēģija, Polija, Saūda Arābija, Somija, Spānija, Šveice, Turcija, Ungārija, Vācija, Zviedrija
Oskavit
Irāna
Rupek
Argentīna
Vikadic
Irāna
Vitatron
Brazīlija
Saderība : Phytomenadione
Šī tabula parāda zāļu saderību vai nesaderību, pēc iespējas arī nesaderības tipu (precipitācija, krāsas maiņa, emulsijas sadalīšanās utt). Parādītas šeit saderības ir pārsvarā tikai fizikālās, pēc iespējas tiek parādīta ķīmiskā stabilitāte katrai molekulai. Šo maisījumu analīze tikai veikta, lai izprastu iespējamību ievadīt zāles Y-savienojuma vietā sistēmā pacientam. Šie dati nevar tikt izmantoti, lai pagatavot zāļu maisījumus vēlākai lietošanai maisos vai šļircēs. Šī informācija ir pieejama sadaļā "Maisījuma stabilitāte".
Phytomenadione
0,2 mg/ml
Acetylsalicylic acid lysinate
10 mg/ml
4698
Phytomenadione
0.1 mg/ml
Cimetidine hydrochloride
3 mg/ml
1201
Phytomenadione
2 mg/ml
Famotidine
397
Phytomenadione
Mitomycin
4471
Phytomenadione
Mitomycin
3128
Phytomenadione
0.1 mg/ml
Netilmicin sulfate
3 mg/ml
1200
Phytomenadione
0,2 mg/ml
Pantoprazole sodium
4 mg/ml
4698
Phytomenadione
10 mg/ml
Sugammadex
100 mg/ml
3372
Phytomenadione
0.1 mg/ml
Temocilline
83.33 mg/ml
2231
Phytomenadione
3985
Mentions Légales