آخر تحديث :
05/12/2025
Infostab
قائمة المركبات
ملخص القوائم
ابحث عن التوافق
جدول توافق موقع ص
مراجع
فرق البحث
valistab
الملصق
الروابط
الرعاة
الكتاب
دليل المستخدم
النشرة الإخبارية
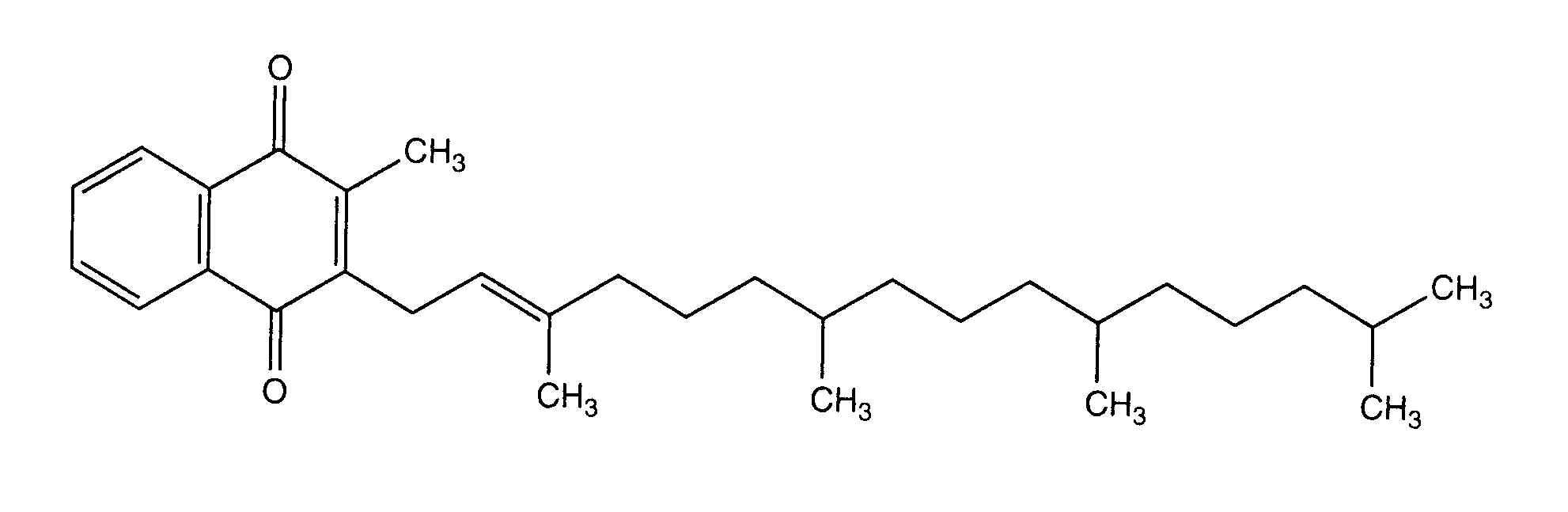
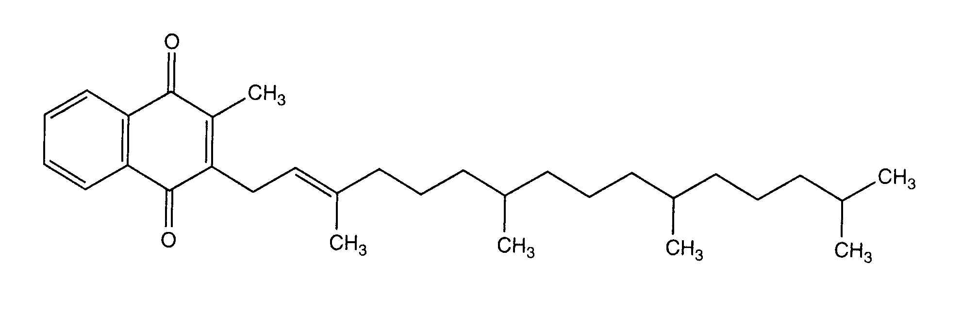
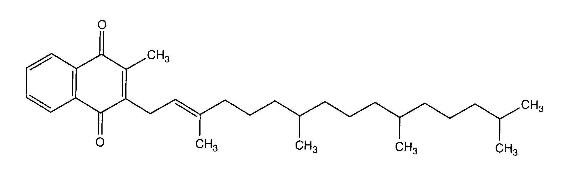
Phytomenadione
التركيب الكيميائي
حجز الاسم التجاري
تحذير الأسماء التجاريه المختلفه قد تحتوي علي محتوي إضافات مختلفة حسب الدوله و المعمل
Adcokion
مصر
Amidalak
المكسيك
Amri-K
مصر
Aquamephyton
الولايات المتحدة
Epikavit
مصر
Haemokion
مصر
Hyvit
البرازيل
Kanakion
البرازيل, البرتغال
Kavit
البرازيل
Kenadion
الهند
Kisan
ماليزيا
Konakion
ألمانيا, أيسلندا, إسبانيا, إيطاليا, الأرجنتين, الإكوادور, الإمارات العربية المتحدة, الدنمارك, السويد, العربية السعودية, المغرب, النرويج, النمسا, ايرلندا, بريطانيا العظمي, بلجيكا, بولندا, تركيا, تشيلي, زيلاندا الجديدة, سويسرا, فنلندا, كرواتيا, كولومبيا, لوكسمبورغ, مصر, هنغاريا, هولندا, يونان
Oskavit
إيران
Rupek
الأرجنتين
Vikadic
إيران
Vitatron
البرازيل
التوافق : Phytomenadione
This screen indicates the compatibilities or incompatibilities with, in this case, the type of incompatibility (precipitation, color change, modification of an emulsion, etc.). The compatibilities shown here are mostly physical only, with the chemical stability of each molecule rarely being assessed. The evaluation of these mixtures was studied to consider the possibility of Y-site administration to the patient. These data cannot be used for making mixtures in advance in bags or syringes. This type of information is available in the screen "Stability in mixture ».
Phytomenadione
0,2 mg/ml
Acetylsalicylic acid lysinate
10 mg/ml
4698
Phytomenadione
0.1 mg/ml
Cimetidine hydrochloride
3 mg/ml
1201
Phytomenadione
2 mg/ml
Famotidine
397
Phytomenadione
Mitomycin
4471
Phytomenadione
Mitomycin
3128
Phytomenadione
0.1 mg/ml
Netilmicin sulfate
3 mg/ml
1200
Phytomenadione
0,2 mg/ml
Pantoprazole sodium
4 mg/ml
4698
Phytomenadione
10 mg/ml
Sugammadex
100 mg/ml
3372
Phytomenadione
0.1 mg/ml
Temocilline
83.33 mg/ml
2231
Phytomenadione
3985
Mentions Légales