Τελευταία ενημέρωση :
27/01/2026
Βιταμίνη   Phytomenadione  
Ενέσιμο
Πόσιμο διάλυμα
Σταθερότητα διαλυμάτων Σταθερότητα σε μίγματα Παράγοντας που επηρεάζει τη σταθερότητα Συμβατότητες Τρόπος χορήγησης Βιβλιογραφία pdf
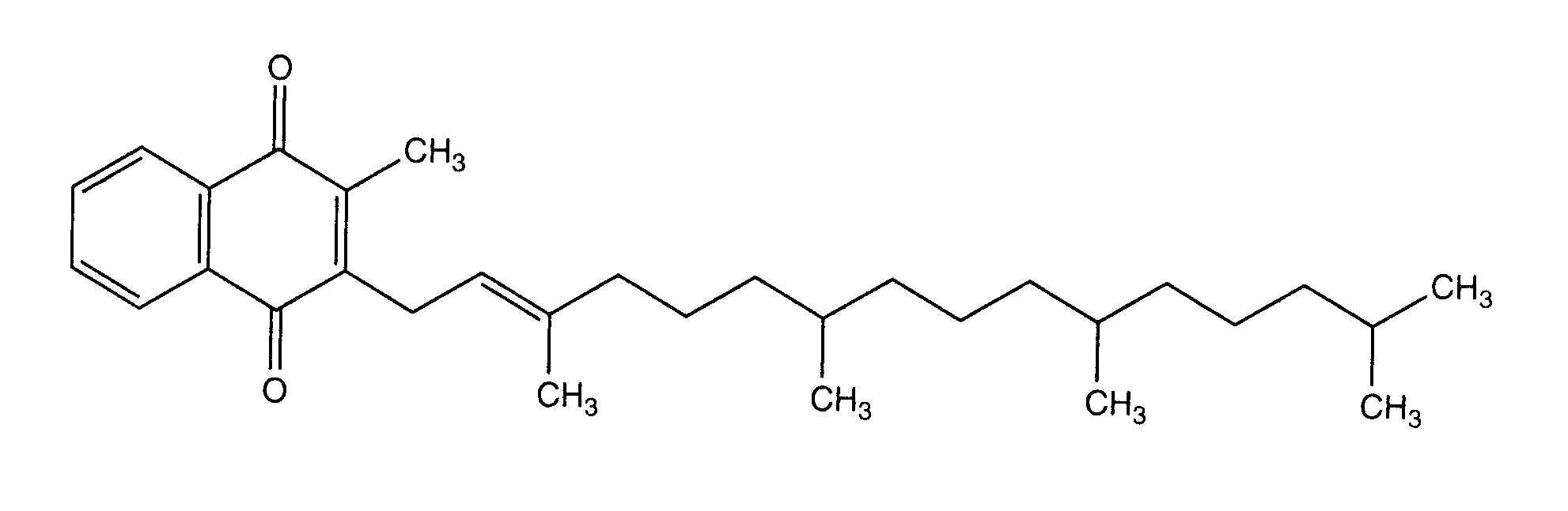
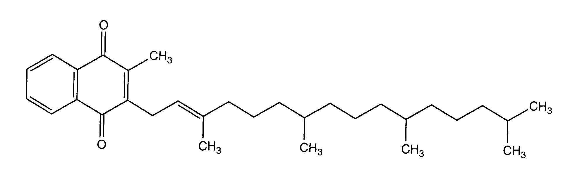
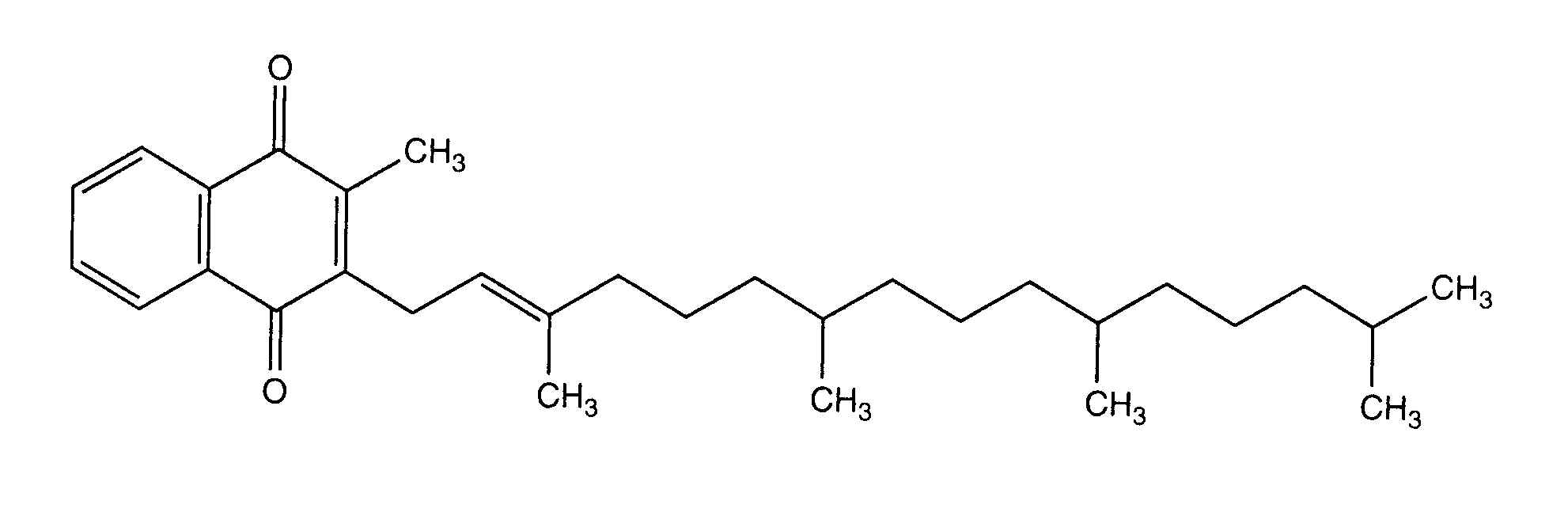
   χημική δομή  

Εμπορική ονομασία   Εμπορική ονομασία     

Οι εμπορικές ονομασίες είναι ενδεικτικές και η σύνθεση των εκδόχων μπορεί να διαφέρει ανάλογα με τη χώρα και τα εργαστήρια

Adcokion Αίγυπτος
Amidalak Μεξικό
Amri-K Αίγυπτος
Aquamephyton Η.Π.Α.
Epikavit Αίγυπτος
Haemokion Αίγυπτος
Hyvit Βραζιλία
Kanakion Βραζιλία, Πορτογαλία
Kavit Βραζιλία
Kenadion Ινδία
Kisan Μαλαισία
Konakion Yhdistyneet arabiemiirikunnat, Αίγυπτος, Αργεντινή, Αυστρία, Βέλγιο, Γερμανία, Δανία, Εκουαδόρ, Ελβετία, Ελλάδα, Ιρλανδία, Ισλανδία, Ισπανία, Ιταλία, Κολομβία, Κροατία, Λουξεμβούργο, Μαρόκο, Μεγάλη Βρετανία, νέα Ζηλανδία, Νορβηγία, Ολλανδία, Ουγγαρία, Πολωνία, Σαουδική Αραβία, Σουηδία, Τουρκία, Φινλανδία, Χιλή
Oskavit Ιράν
Rupek Αργεντινή
Vikadic Ιράν
Vitatron Βραζιλία
Συμβατότητες    Ενέσιμο   Συμβατότητες : Phytomenadione              
Σε αυτή την οθόνη εμφανίζονται οι συμβατότητες ή ασυμβατότητες. Σε αυτή την περίπτωση εμφανίζονται το είδος της ασυμβατότητας (ίζημα, αλλαγή χρώματος, μεταβολή γαλακτώματος, κλπ). Οι συμβατότητες που παρουσιάζονται εδώ είναι κυρίως φυσικές, ενώ η χημική σταθερότητα κάθε μορίου σπάνια περιλαμβάνεται. Η αξιολόγηση αυτών των μιγμάτων μελετήθηκε προκειμένου να εκτιμηθεί η πιθανότητα χορήγησης στον ασθενή στο Υ κέντρο. Τα δεδομένα αυτά δεν μπορούν να χρησιμοποιηθούν για την εκ των προτέρων δημιουργία μιγμάτων σε ασκούς ή σύριγγες. Αυτό το είδος πληροφορίας υπάρχει και μπορεί να αναζητηθεί στην οθόνη «Σταθερότητα σε μίγμα».
Συστατικό Διαλυτικό Βιβλιογραφία

  Mentions Légales