Dernière mise à jour :
17/12/2025
Vitamine   Phytomenadione  
injectable
Solution buvable
Stabilité des solutions Stabilité en mélange Facteur influençant la stabilité Compatibilités Voie d’administration Bibliographie pdf
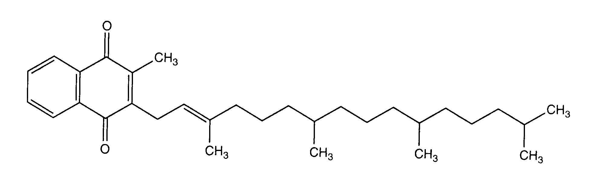
   Structure chimique  

Noms commerciaux   Noms commerciaux     

Les noms commerciaux sont donnés à titre indicatif et la composition en excipients peut être différente selon les pays et selon les laboratoires

Adcokion Egypte
Amidalak Mexique
Amri-K Egypte
Aquamephyton Etats Unis d’Amérique
Epikavit Egypte
Haemokion Egypte
Hyvit Brésil
Kanakion Brésil, Portugal
Kavit Brésil
Kenadion Inde
Kisan Malaisie
Konakion Allemagne, Arabie Saoudite, Argentine, Autriche, Belgique, Chili, Colombie, Croatie, Danemark, Egypte, Emirats Arabes Unis , Equateur, Espagne, Finlande, Grande Bretagne, Grèce, Hongrie, Irlande, Islande, Italie, Luxembourg, Maroc, Norvège, Nouvelle Zélande, Pays bas, Pologne, Suède, Suisse, Turquie
Oskavit Iran
Rupek Argentine
Vikadic Iran
Vitatron Brésil
Bibliographie   injectable   Bibliographie : Phytomenadione  
Type Source
397 Revue Fong PA, Ward J.
Visual compatibility of intravenous famotidine with selected drugs.
Am J Hosp Pharm 1989 ; 46: 125-126.
951 Revue Ho PC, Wong VK.
Influence of DL methionine and sodium metasulphite on the photostability of vitamin K1.
PDA J Pharm Sci Technol 1998 ; 52: 129-133.
1200 Revue Chaudry IA, Bruey KP, Hurlburt LE, Oden EM.
Compatibility of netilmycin sulfate injection with commonly used intravenous injections and additives.
Am J Hosp Pharm 1981 ; 38: 1737-1742.
1201 Revue Yuhas EM, Lofton FT, Rosenberg HA, Mayron D, Baldinus JG.
Cimetidine hydrochloride compatibility III: Room temperature stability in drug admixtures.
Am J Hosp Pharm 1981 ; 38: 1919-1922.
2231 Revue de Jongh R, Hens R, Basma V, mouton JW, Tulkens PM, Carryn S.
Continuous versus intermittent infusion of temocillin, a directed spectrum penicillin for intensive care patients with nosocomial pneumonia: stability, compatibility, population pharmacokinetic studies and breakpoint selection.
J Antimicrob Chemother 2008 ; 61, 2: 382-388.
3128 Laboratoire Mitomycine (Amétycine®) - Résumé Caractéristiques du Produit
Prostrakan 2013
3372 Revue Hanci V, Ali Kiraz H, Ömür D, Ekin S, Uyan B, Yurtlu B.S.
Precipitation in Gallipoli: Sugammadex / Amiodarone & Sugammadex / Dobutamine & Sugammadex / Protamine.
Rev Bras Anestesiol 2013 ; 63, 1: 163-166.
3985 Poster Manai M., Soussi M.A., Lazreg O., Drira C., Ben Tekaya S. et Razgallah Khrouf M.
Compatibilité physique entre médicaments injectables et nutrition parentérale pédiatrique : Evaluation in-vitro.
Hopipharm Congress 2017 - Nancy 2017
4471 Laboratoire Amétycine 10 mg poudre pour solution injectable - Résumé des caractéristiques du produit - Oct 10, 2019
Kyowa Kirin Pharma 2019
4698 Revue Ayari G, D'Huart E, Vigneron J, Demoré B.
Y-site compatibility of intravenous medications commonly used in intensive care units : laboratory tests on 75 mixtures involving nine main drugs.
Pharmaceutical Technology in Hospital Pharmacy 2022 ; 7(1): 20220002

  Mentions Légales