Seneste opdatering :
27/01/2026
Vitamin   Phytomenadione  
Injektion
Oral opløsning
Stabilitet i (vandige) opløsninger Stabilitet i blandinger Faktorer der påvirker stabiliteten Kompatibilitet Administrationsvej Bibliografi pdf
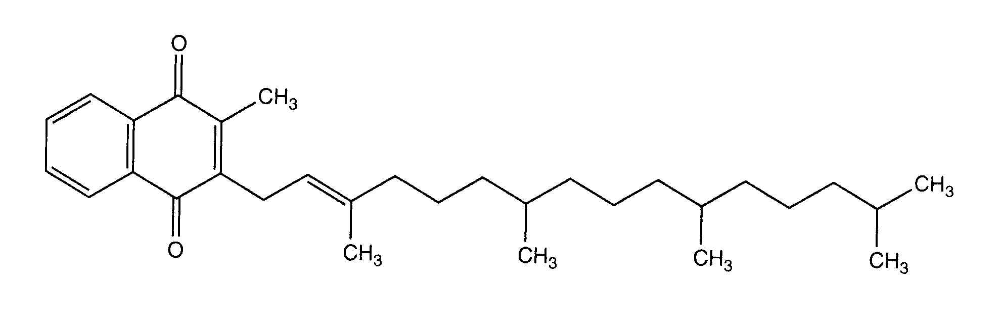
   Kemisk struktur  

Handelsnavn   Handelsnavn     

Handel navne er vejledende og hjælpestoffer sammensætning kan være forskellig afhængigt af landet og laboratorier

Adcokion Ægypten
Amidalak Mexico
Amri-K Ægypten
Aquamephyton USA
Epikavit Ægypten
Haemokion Ægypten
Hyvit Brasilien
Kanakion Brasilien, Portugal
Kavit Brasilien
Kenadion Indien
Kisan Malaysia
Konakion Argentina, Belgien, Chile, Colombia, Danmark, Ecuador, Finland, Forenede Arabiske Emirater, Grækenland, Holland, Irland, Island, Italien, Kroatien, Luxemborg, Marokko, New Zealand, Norge, Polen, Saudi-Arabien, Schweiz, Spanien, Storbritanien, Sverige, Tyrkiet, Tyskland, Ungarn, Ægypten, Østrig
Oskavit Iran
Rupek Argentina
Vikadic Iran
Vitatron Brasilien
Kompatibilitet   Injektion   Kompatibilitet : Phytomenadione              
Denne skærm viser kompatibilitet eller uforenelighed med, i dette tilfælde typen af inkompatibilitet (udfældning, farveændring, ændring af en emulsion osv.). Kompatibiliteterne vist her er for det meste kun fysiske, idet den kemiske stabilitet af hvert molekyle sjældent vurderes. Evalueringen af disse blandinger blev undersøgt for at overveje muligheden for Y-sted-administration til patienten. Disse data kan ikke bruges til at fremstille blandinger på forhånd i poser eller sprøjter. Denne type information findes på skærmen "Stabilitet i blanding".
Molekyle Opløsningsmiddel Bibliografi

  Mentions Légales