Последнее обновление :
27/01/2026
Витамин   Phytomenadione  
Инъекция
Раствор для перорального приёма
Стабильность растворов Стабильность смесей Факторы, которые влияют на стабильность Совместимость Способы введения Библиография pdf
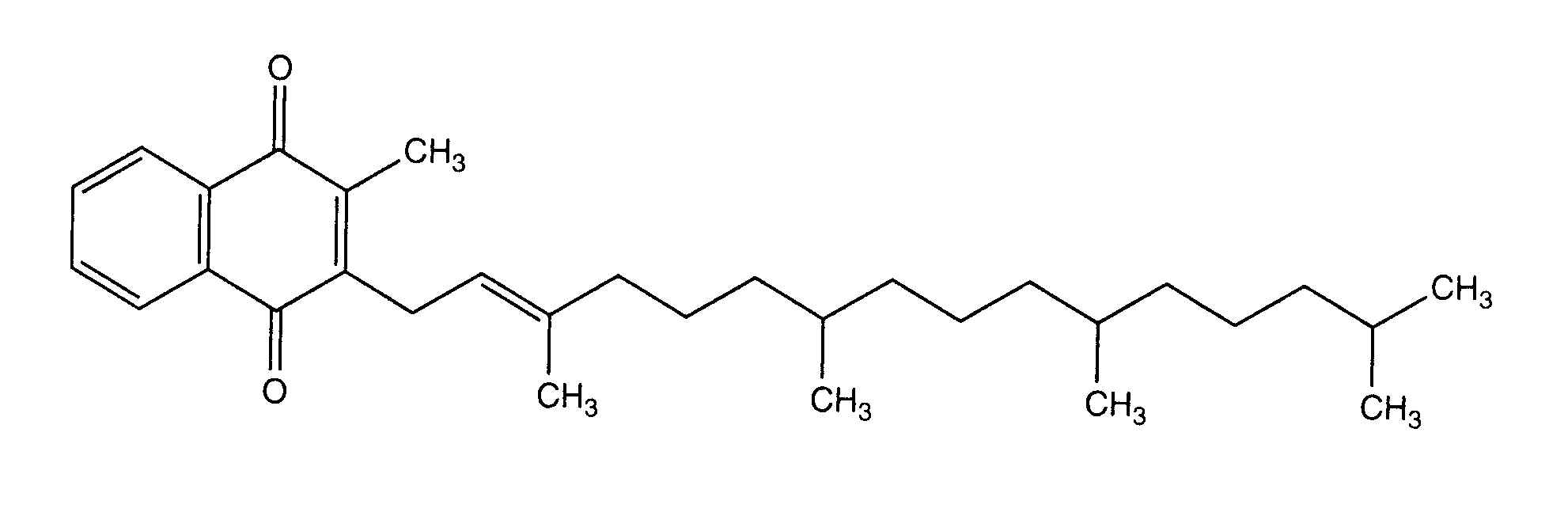
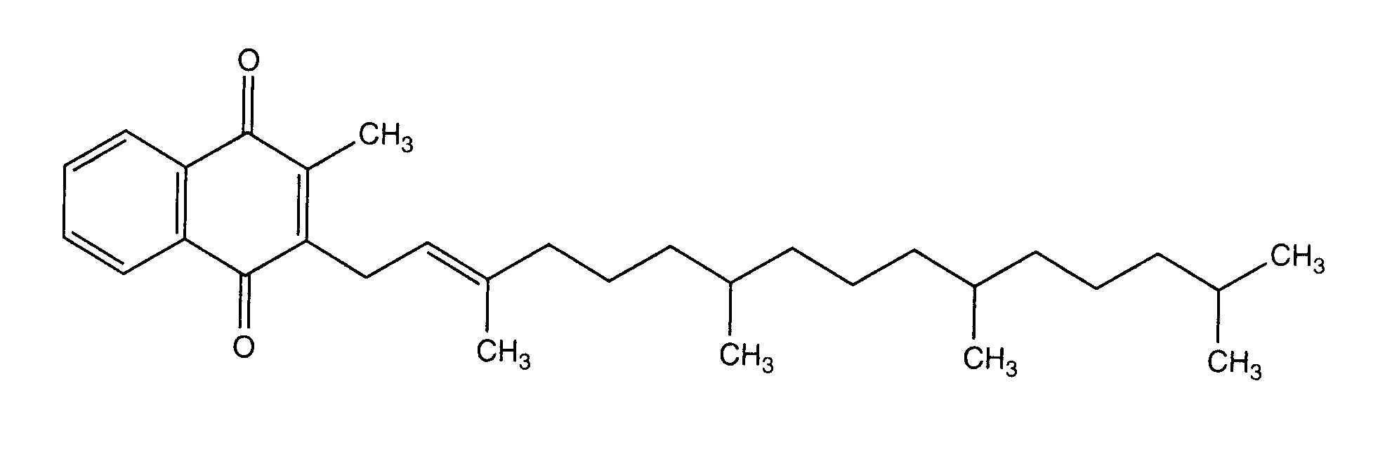
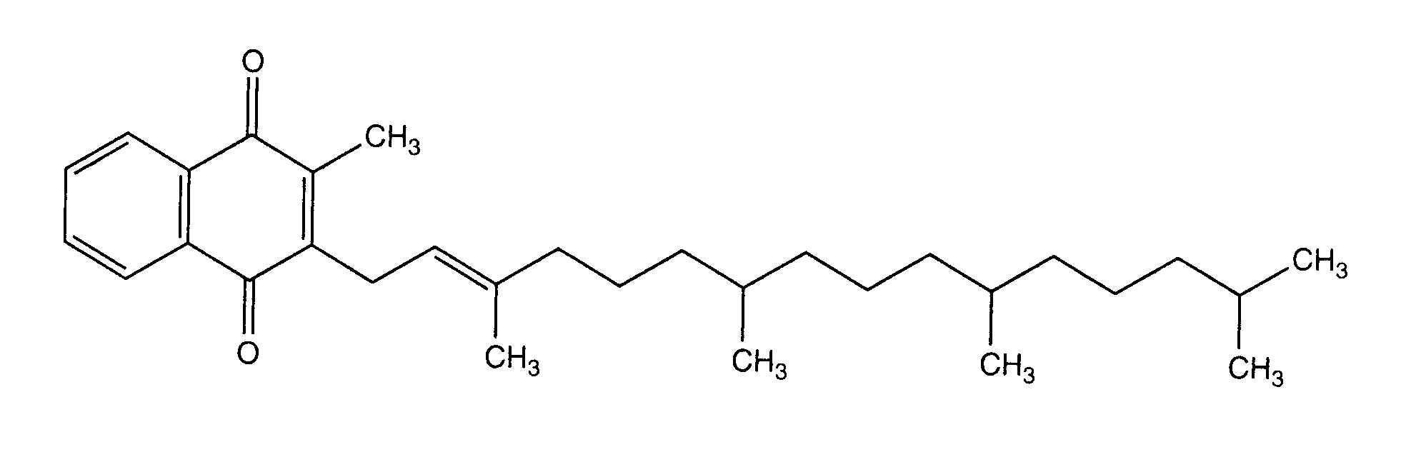
   Химическая структура  

Товарное название   Товарное название     

Trade names are indicative and excipients composition can be different depending on the country and manufacturers

Adcokion Египет
Amidalak Мексика
Amri-K Египет
Aquamephyton Соединённые Штаты Америки
Epikavit Египет
Haemokion Египет
Hyvit Бразилия
Kanakion Бразилия, Португалия
Kavit Бразилия
Kenadion Индия
Kisan Малайзия
Konakion Австрия, Аргентина, Бельгия, Великобритания, Венгрия, Германия, Голландия, Греция, Дания, Египет, Ирландия, Исландия, Испания, Италия, Колумбия, Люксембург, Марокко, новая Зеландия, Норвегия, Объединенные Арабские Эмираты, Польша, Саудовская Аравия, Турция, Финляндия, Хорватия, чили, Швейцария, Швеция, Эквадор
Oskavit Иран
Rupek Аргентина
Vikadic Иран
Vitatron Бразилия
Совместимость   Инъекция   Совместимость : Phytomenadione              
Эта таблица показывает совместимость или несовместимость препаратов, по возможности тип несовместимости (преципитат, смена цвета, разложение эмульсии и др.). Показанные здесь совместимости в основном физические, по возможности указана и химическая стабильность каждой молекулы. Анализ этих смесей произведён для исследования возможности ввести препараты пациенту в Y-соединении систем. Эти данные нельзя использовать, чтобы приготовить лекарства на будущее в мешках или шприцах. Эта информация доступна в разделе "Стабильность смесей".
Молекула Растворитель Ссылки

  Mentions Légales