Ultimo aggiornamento :
27/04/2026
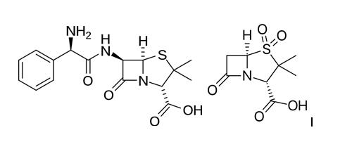
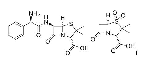
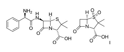
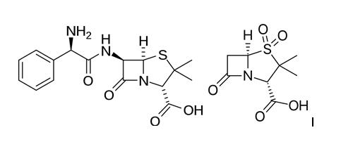
Antibiotico   Ampicillin sodium - sulbactam sodium  
Iniezione
Stabilità in soluzione Stabilità in miscela Fattori che influenzano la stabilità Compatibilità metodo di iniezione Bibliografia pdf
   Struttura chimica  

Nome commerciale   Nome commerciale     

Trade names are indicative and excipients composition can be different depending on the country and manufacturers

Alfasid Turchia
Ampibac Colombia
Ampibactam Venezuela
Ampicillin sulbactam Australia
Ampicillina sodica - sulbactam Brasile, Ecuador
Ampictam Egitto
Ampiplus Arabia Saudita, Romania
Ampisid Turchia
Ampixim Venezuela
Bacimex Spagna
Begalin Grecia
Bethacil Italia
Cinclox India
Combicid Turchia
Darzitil Argentina
Duobaktam Turchia
Duocid Turchia
Galotam Spagna
Libractam Chile
Loricin Italia
Prixin Argentina
Ranpisul Messico
Retarpen Spagna
Sabect Egitto
Sulamp Colombia
Sulbacter Venezuela
Sulbaksit Turchia
Sulbin Egitto
Sulcid Turchia
Sumitan Colombia, Venezuela
Synerpen Egitto
Ultracillin Egitto
Unacid Germania
Unacim Francia
Unasyn Arabia Saudita, Austria, Brasile, Chile, Colombia, Ecuador, Egitto, Germania, Giappone, Italia, Malaysia, Marocco, Messico, Perù, Polonia, Spagna, Stati Uniti d’America, Ungheria
Unictam Egitto
Xilbac Perù
Bibliografia   Iniezione   Bibliografia : Ampicillin sodium - sulbactam sodium  
tipo pubblicazione
3 Rivista Trissel LA, Martinez JF.
Compatibility of amifostine with selected drugs during simulated Y-site administration.
Am J Health-Syst Pharm 1995 ; 52: 2208-2212.
59 Rivista Trissel LA, Gilbert DL, Martinez JF, Kim MC.
Compatibility of remifentanil hydrochloride with selected drugs during simulated Y-site administration.
Am J Health-Syst Pharm 1997 ; 54: 2192-2196.
91 Rivista Lober CA, Dollard PA.
Visual compatibility of gallium nitrate with selected drugs during Y-site injection.
Am J Hosp Pharm 1993 ; 50: 1208-1210.
99 Rivista Trissel LA, Martinez JF.
Compatibility of aztreonam with selected drugs during simulated Y-site administration.
Am J Health-Syst Pharm 1995 ; 52: 1086-1090.
129 Rivista Smythe M, Malouf E.
Visual compatibility of insulin with secondary intravenous drugs in admixtures.
Am J Hosp Pharm 1991 ; 48: 125-126.
182 Rivista Trissel LA, Gilbert DL, Martinez JF.
Compatibility of granisetron hydrochloride with selected drugs during simulated Y-site administration.
Am J Health-Syst Pharm 1997 ; 54: 56-60.
198 Rivista Gayed AA, Kheshary PR, Hinkle RL.
Visual compatibility of diltiazem injection with various diluents and medications during simulated Y-site injection.
Am J Health-Syst Pharm 1995 ; 52: 516-520.
244 Rivista Trissel LA, Martinez JF.
Compatibility of filgrastim with selected drugs during simulated Y-site administration.
Am J Hosp Pharm 1994 ; 51: 1907-1913.
248 Rivista Trissel LA, Martinez JF.
Turbidimetric assessment of the compatibility of taxol with 42 other drugs during simulated Y-site injection.
Am J Hosp Pharm 1993 ; 50: 300-304.
249 Rivista Trissel LA, Martinez JF.
Compatibility of thiotepa (lyophilized) with selected drugs during simulated Y-site administration.
Am J Health-Syst Pharm 1996 ; 53: 1041-1045.
258 Rivista Belliveau PP, Nightingale CH, Quintiliani R.
Stability of aztreonam and ampicillin sodium-sulbactam sodium in 0.9% sodium chloride injection.
Am J Hosp Pharm 1994 ; 51: 901-904.
285 Rivista Elmore RL, Contois ME, Kelly J, Noe A, Poirier A.
Stability and compatibility of admixtures of intravenous ciprofloxacin and selected drugs.
Clin Ther 1996 ; 18: 246-255.
299 Rivista Trissel LA, Martinez JF, Gilbert DL.
Compatibility of cisatracurium besylate with selected drugs during simulated Y-site administration.
Am J Health-Syst Pharm 1997 ; 54: 1735-1741.
301 Rivista Trissel LA, Gilbert DL, Martinez JF, Baker MB, Walter WV, Mirtallo JM.
Compatibility of parenteral nutrient solutions with selected drugs during simulated Y-site administration.
Am J Health-Syst Pharm 1997 ; 54: 1295-1300.
317 Rivista Kershaw BP, Monnier HL, Mason JH.
Visual compatibility of premixed theophylline or heparin with selected drugs for IV administration.
Am J Hosp Pharm 1993 ; 50: 1360-1362.
334 Rivista Trissel LA, Tramonte SM, Grilley BJ.
Visual compatibility of ondansetron hydrochloride with selected drugs during simulated Y-site injection.
Am J Hosp Pharm 1991 ; 48: 988-992.
335 Rivista Trissel LA, Bready BB, Kwan JW, Santiago NM.
Visual compatibility of sargramostim with selected antineoplasic agents, anti-infectives, or other drugs during simulated Y-site injection.
Am J Hosp Pharm 1992 ; 49: 402-406.
397 Rivista Fong PA, Ward J.
Visual compatibility of intravenous famotidine with selected drugs.
Am J Hosp Pharm 1989 ; 46: 125-126.
406 Rivista Smythe MA, Patel MA, Gasloli RA.
Visual compatibility of narcotic analgesics with selected intravenous admixtures.
Am J Hosp Pharm 1990 ; 47: 819-820.
479 Rivista Min DI, Brown T, HWang GC.
Visual compatibility of tacrolimus with commonly used drugs during simulated Y-site injection.
Am J Hosp Pharm 1992 ; 49: 2964-2966.
491 Rivista Turowski RC, Durthaler JM.
Visual compatibility of idarubicin hydrochloride with selected drugs during simulated Y-site injection.
Am J Hosp Pharm 1991 ; 48: 2181-2184.
492 Rivista Trissel LA, Parks NPT, Santiago NM.
Visual compatibility of fludarabine phosphate with antineoplastic drugs, anti-infectives, and other selected drugs during simulated Y-site injection.
Am J Hosp Pharm 1991 ; 48: 2186-2189.
496 Rivista Lor E, Sheybani T, Takagi J.
Visual compatibility of fluconazole with commonly used injectable drugs during simulated Y-site administration.
Am J Hosp Pharm 1991 ; 48: 744-746.
905 Rivista Trissel LA, Martinez JF.
Screening teniposide for Y-site physical incompatibilities.
Hosp Pharm 1994 ; 29: 1010-1017.
921 Rivista Trissel LA, Gilbert DL, Martinez JF.
Incompatibility and compatibility of amphotericin B cholesteryl sulfate complex with selected other drugs during simulated Y-site administration.
Hosp Pharm 1998 ; 33: 284-292.
1315 Rivista Halpern NA, Colucci RD, Alicea M, Greenstein R.
Visual compatibility of enalaprilat with commonly used critical care medications during simulated Y-site injection.
Int J Pharm Clin Pharmacol Ther Tox 1989 ; 27: 294-297.
1410 Rivista Trissel LA, Martinez JF, Simmons M.
Compatibility of etoposide phosphate with selected drugs during simulated Y-site injection.
J Am Pharm Assoc 1999 ; 39: 141-145.
1415 Rivista Trissel L.A, Gilbert D.L, Martinez J.F, Baker M.B, Walter W.V, Mirtallo J.M.
Compatibility of medications with 3-in-1 parenteral nutrition admixtures.
JPEN 1999 ; 23: 67-74.
1423 Rivista Trissel LA, Martinez JF, Gilbert DL.
Compatibility of gemcitabine hyrochloride with 107 selected drugs during simulated Y-site injection.
J Am Pharm Assoc 1999 ; 39: 514-518.
1490 Rivista Halpern NA, Colucci RD, Alicea M, Greenstein R.
The compatibility of nicardipine hydrochloride injection with various ICU medications during simulated Y-site injection.
Int J Pharm Clin Pharmacol Ther Tox 1989 ; 27: 250-254.
1500 Rivista Melonakos TK.
Ciprofloxacin-ampicillin sulbactam incompatibility.
Ann Pharmacotherapy 1996 ; 30: 87.
1611 Rivista Chalmers JR, Bobek MB, Militello MA.
Visual compatibility of amiodarone hydrochloride injection with various intravenous drugs.
Am J Health-Syst Pharm 2001 ; 58: 504-506.
1625 Rivista Trissel LA, Saenz C, Williams YW, Ingram D.
Incompatibilities of lansoprazole injection with other drugs during simulated Y-site coadministration.
Int J Pharm Compound 2001 ; 5: 314-321.
1674 Rivista Trissel LA, Gilbert DL, Martinez JF.
Concentration dependency of vancomycin hydrochloride compatibility with beta-lactam antibiotics during simulated Y-site administration.
Hosp Pharm 1998 ; 33: 1515-1522.
1712 Rivista Trissel LA, Saenz CA.
Compatibility screening of Precedex during simulated Y-site administration with other drugs.
Int J Pharm Compound 2002 ; 6: 230-233.
1713 Rivista Trissel LA, Saenz CA.
Compatibility screening of bivalirudin during simulated Y-site administration with other drugs.
Int J Pharm Compound 2002 ; 6: 311-315.
1721 Rivista Trissel LA, Williams KY, Baker MB.
Compatibility screening of Hextend during simulated Y-site administration with other drugs.
Int J Pharm Compound 2001 ; 5: 69-72.
1754 Rivista Trissel LA, Gilbert DL, Wolkin AC.
Compatibility of docetaxel with selected drugs during simulated Y-site administration.
Int J Pharm Compound 1999 ; 3: 241-244.
1803 Rivista Trissel, LA, Saenz CA, Ogundele OB, Ingram D, Baker MB.
Compatibility of fenoldopam mesylate with other drugs during simulated Y-site administration.
Am J Health-Syst Pharm 2003 ; 60: 80-85.
1847 Rivista Anacardo R, Perilli O, Bartolini S, Gentile MM, Mazzeo P, Carlucci G.
Physicochemical compatibility between ketoprofen kysine salt injections (Artrosilene®) and pharmaceutical products frequently used for combined therapy by intravenous administration.
J Pharm Biomed Anal 2003 ; 32, 6: 1235-1241.
1925 Rivista Trissel LA , Williams KY, Gilbert DL.
Compatibility screening of linezolid injection during simulated Y-site administration with other drugs and infusion solutions.
J Am Pharm Assoc 2000 ; 40: 515-519.
1953 Rivista Trissel LA, Saenz CA, Ogundele AB, Ingram DS.
Physical compatibility of pemetrexed disodium with other drugs during simulated Y-site administration.
Am J Health-Syst Pharm 2004 ; 61: 2289-2293.
1982 Rivista Trissel LA, Ogundele AB.
Compatibility of anidulafungin with other drugs during simulated Y-site administration.
Am J Health-Syst Pharm 2005 ; 62: 834-837.
2002 Rivista Abanmy NO, Zaghloul IY, Radwan MA.
Compatibility of tramadol hydrochloride injection with selected drugs and solutions.
Am J Health-Syst Pharm 2005 ; 62: 1299-1302.
2214 Rivista Ben M, Trusley C,Kupiec T.C, Trissel L.A.
Palonosetron hydrochloride compatibility and stability with three beta-lactam antibiotics during simulated Y-site administration.
Int J Pharm Compound 2007 ; 11, 6: 520-524.
3254 Rivista Housman S.T, Tessier P.R, Nicolau D.P, Kuti J.L.
Physical compatibility of telavancin hydrochloride with select i.v. drugs during simulated Y-site administration
Am J Health-Syst Pharm 2011 ; 68: 2265-2270.
3372 Rivista Hanci V, Ali Kiraz H, Ömür D, Ekin S, Uyan B, Yurtlu B.S.
Precipitation in Gallipoli: Sugammadex / Amiodarone & Sugammadex / Dobutamine & Sugammadex / Protamine.
Rev Bras Anestesiol 2013 ; 63, 1: 163-166.
3520 Laboratorio Cidomycin - Summary of product Chracteristics.
Sanofi 2011
3529 Laboratorio Ciprofloxacin – Summary of Product Characteristics
Hospira 2013
3549 Laboratorio Amikacine B Braun - Résumé des caractéristiques du produit.
B Braun 2012
3643 Laboratorio Gentamicin sulphate (Cidomycin®) - Summary of Product Characteristics
Sanofi 2015
3674 Laboratorio Erythromycin lactobionate - Summary of Product Characteristics
PanPharma 2016
3827 poster Ghazi I.M, Hamada Y, Nicolau D.P.
Compatibility of tedizolid phosphate with selected intravenous drugs via simulated Y-site conditions.
ASHP Midyear 2015
3828 poster Thabit A.K, Hamada Y, Nicolau D.P.
Ceftozolane/tazobactam physical compatibility during simulated Y-site administration.
ASHP Midyear 2015
3829 poster So W, Kim L, Thabit A.K, Nicolau D.P, Kuti J.L.
Compatibility of isavunazonium sulfate during simulated Y-site administration.
ASHP Midyear 2015
4055 Rivista Monogue M, Almarzoky Abuhussain S, Kuti J, Nicolau D.
Physical compatibility of fosfomycin for injection with select i.v. drugs during simulated Y-site administration.
Am J Health-Syst Pharm 2018 , 75, 1:36-44
4145 Rivista Asempa T.E, Avery L.M, Kidd J.M, Kuti J.L, Nicolau D.P.
Physical compatibility of plazomicin with select i.v. drugs during simulated Y-site administration.
Am J Health-Syst Pharm 2018 ;75,14:1048-1056
4440 Rivista Omotani S, Aoe M, Esaki S, Nagai K, Hatsuda Y, Mukai J, Teramachi H, Myotoku M.
Compatibility of Intravenous Fat Emulsion with Antibiotics for Secondary Piggyback Infusion.
Ann Nutr Metab 2018 ; 73: 227-233.
4507 Rivista Ross E, Salinas A, Petty K, Her C, Carpenter J.
Compatibility of medications with intravenous lipid emulsions: Effects of simulated Y-site mixing.
Am J Health-Syst Pharm 2020 ;77,23:1980-1985
5067 Laboratorio UNACIM INJECTABLE 0,5 g/1 g, poudre pour usage parentéral - Résumé des caractéristiques du produit.
PFIZER HOLDING FRANCE 2025

  Mentions Légales