Última actualización :
27/01/2026
Antiepiléptico   Eslicarbazepine acetate  
Solución Oral
La estabilidad de las preparaciones farmacéuticas Estabilidad en mezcla Factores que influyen sobre la estabilidad Compatibilidades Bibliografía pdf
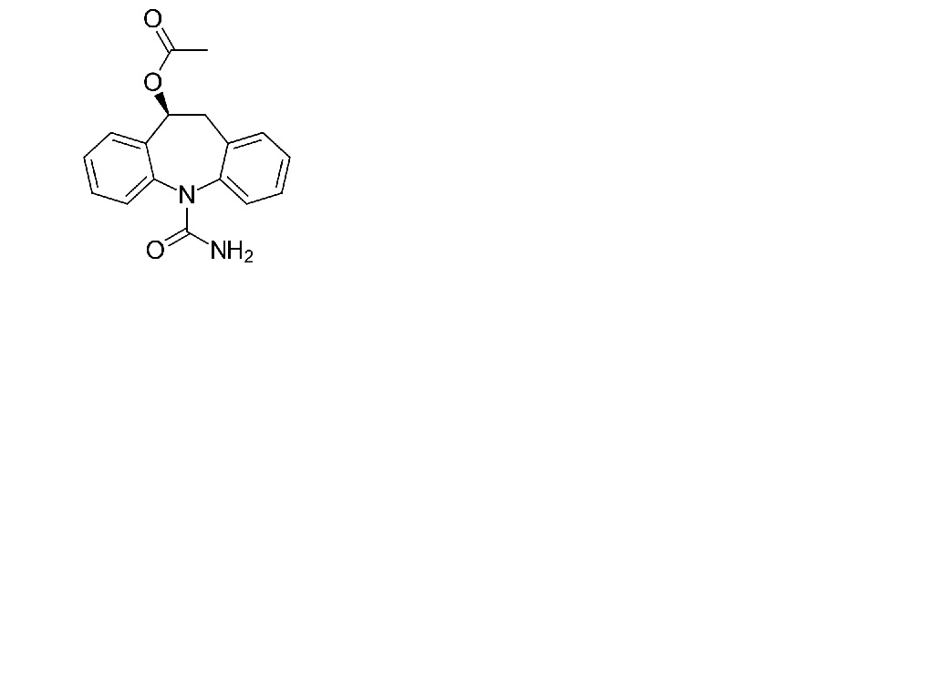
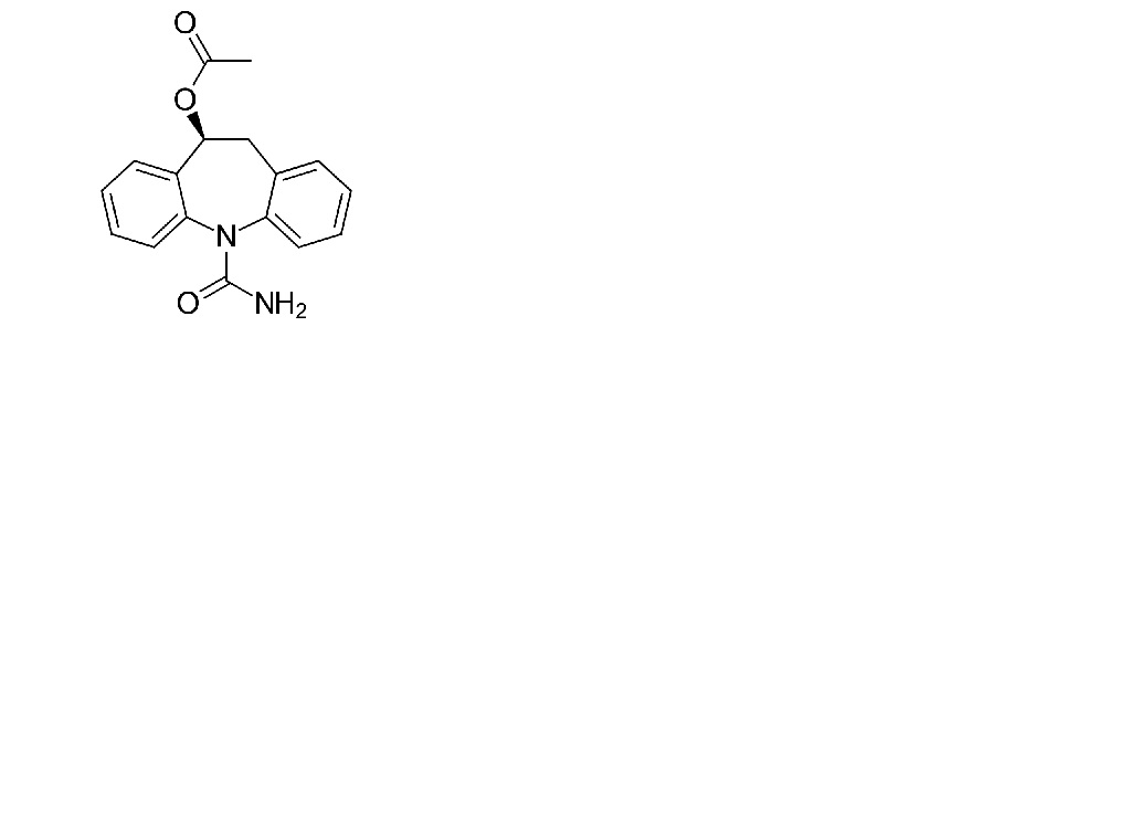
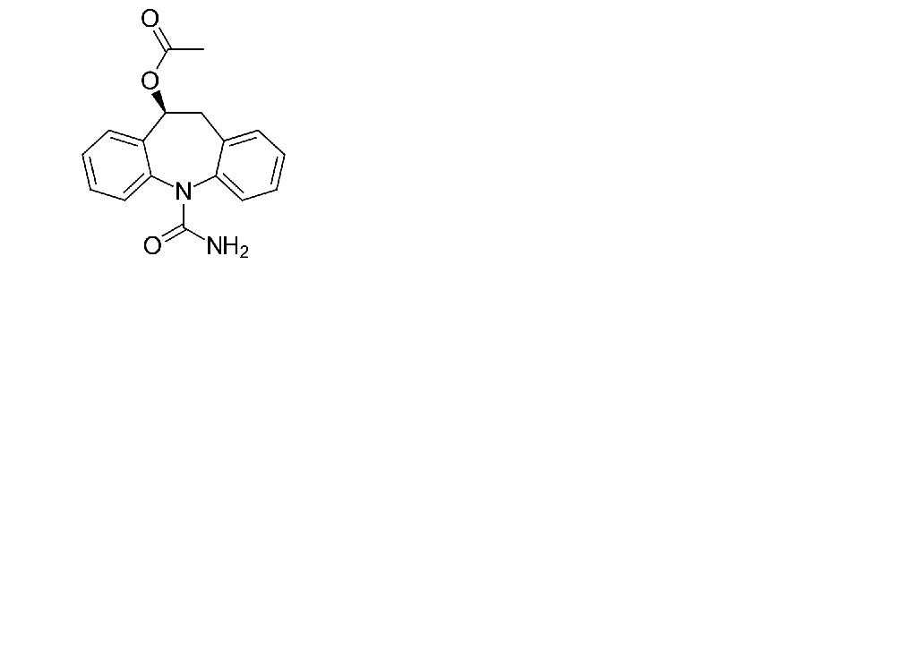
   Estructura química  

Solución Oral

Factores que influyen sobre la estabilidad   Solución Oral   Factores que influyen sobre la estabilidad : Eslicarbazepine acetate        
Ausencia de datos

  Mentions Légales