Utolsó frissítés :
27/01/2026
Antiepileptikum   Eslicarbazepine acetate  
belsőleges oldat
Stabilitása gyógyszerészeti készítmények A keverékek stabilitása Stabilitást befolyásoló tényezők Kompatibilitás Irodalom pdf
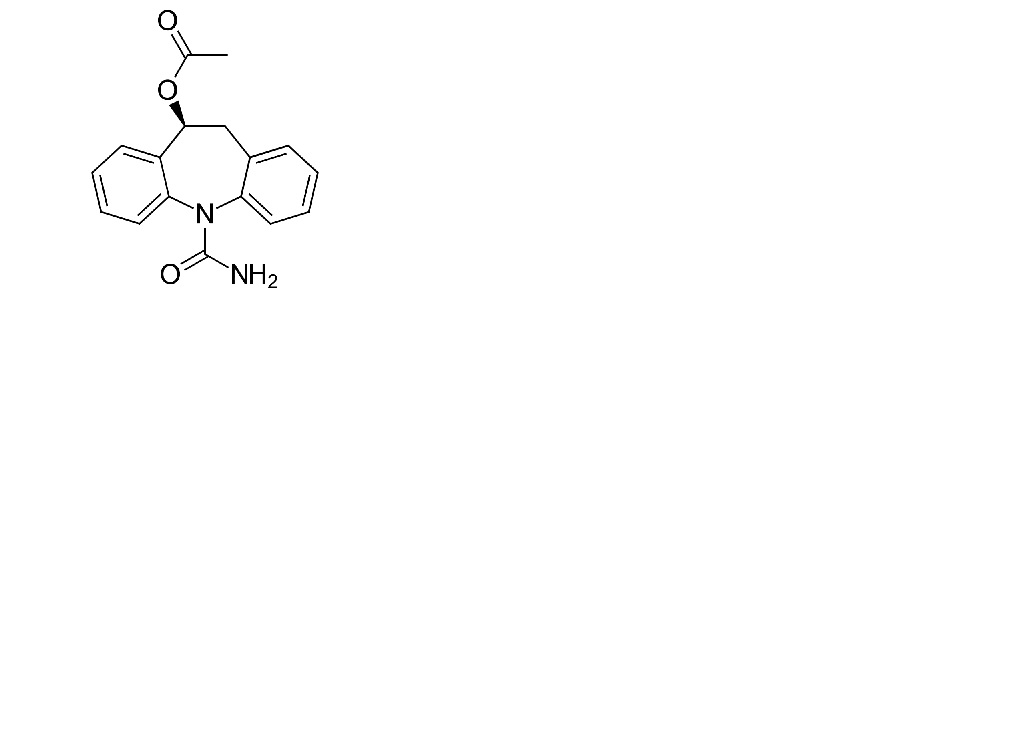
   Kémiai szerkezet   

belsőleges oldat

Stabilitást befolyásoló tényezők   belsőleges oldat   Stabilitást befolyásoló tényezők : Eslicarbazepine acetate        
Hiányzó adat

  Mentions Légales