Последнее обновление :
27/01/2026
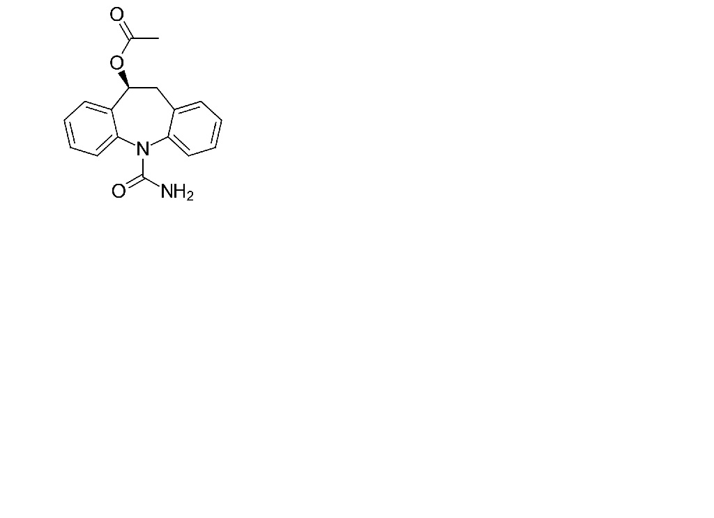
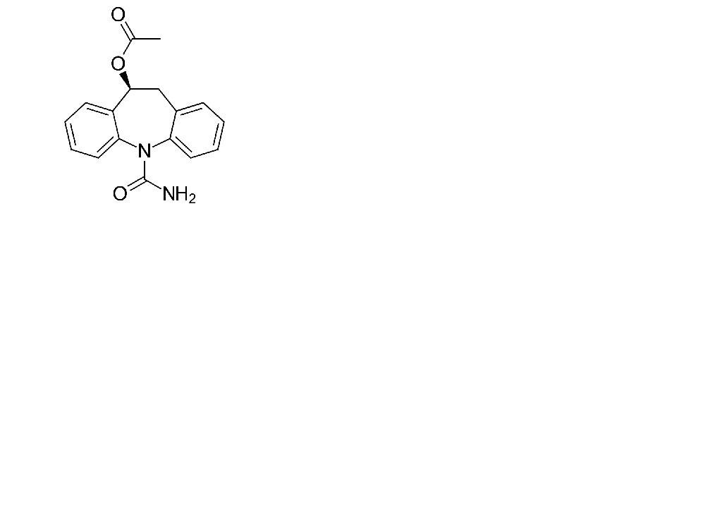
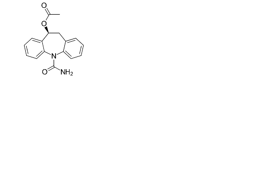
Противоэпилептическое средство   Eslicarbazepine acetate  
Раствор для перорального приёма
Стабильность фармацевтических препаратов Стабильность смесей Факторы, которые влияют на стабильность Совместимость Библиография pdf
   Химическая структура  

Раствор для перорального приёма

Факторы, которые влияют на стабильность   Раствор для перорального приёма   Факторы, которые влияют на стабильность : Eslicarbazepine acetate        
данных нет

  Mentions Légales