Последно актуализиране :
27/01/2026
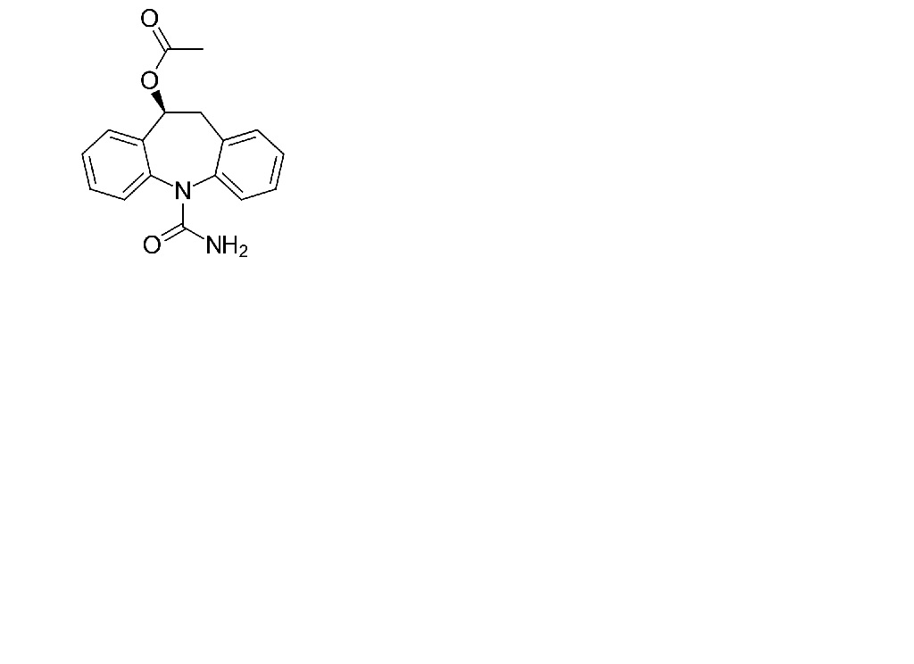
Антиепилептик   Eslicarbazepine acetate  
Орален разтвор
Стабилност на лекарствени препарати Стабилност на смеси Фактори, повлияващи стабилността Съвместимост Библиография Pdf
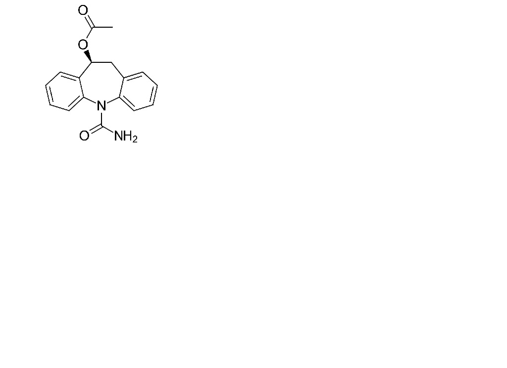
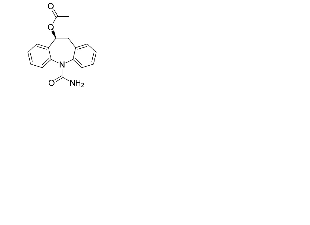
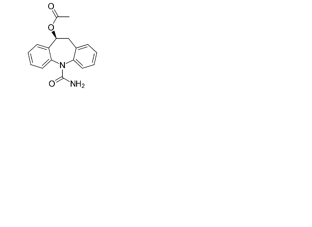
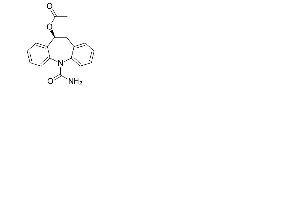
   Химична структура  

Орален разтвор

Фактори, повлияващи стабилността   Орален разтвор   Фактори, повлияващи стабилността : Eslicarbazepine acetate        
Няма данни

  Mentions Légales