Viimeisin päivitys :
27/01/2026
Epilepsialääkkeet   Eslicarbazepine acetate  
Oraaliliuos
Vakaus lääkevalmisteen Stabilius seoksissa Tekijät, jotka vaikuttavat stabiliuteen Yhteensopivuus Viitteet pdf
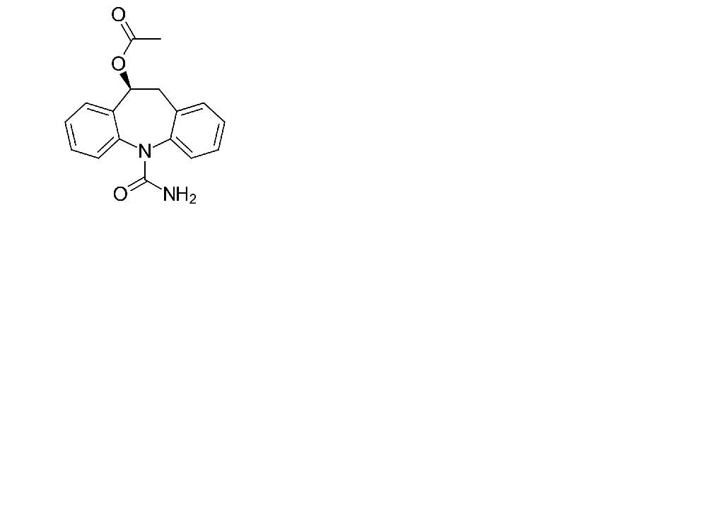
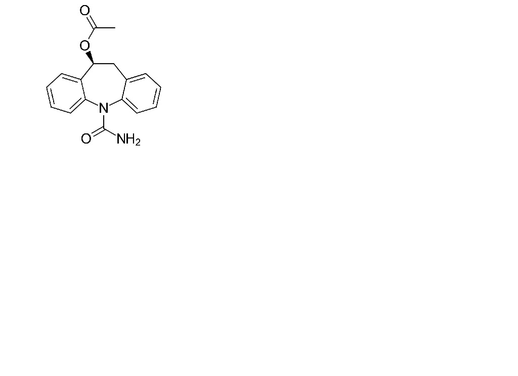
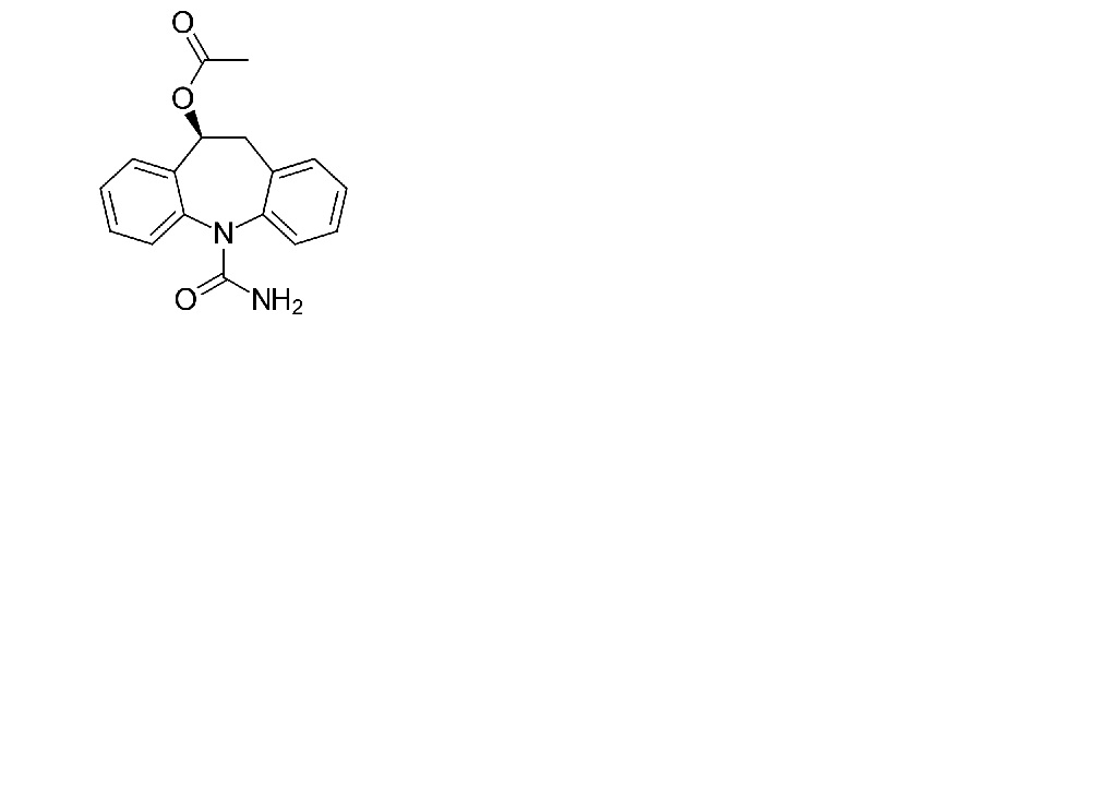
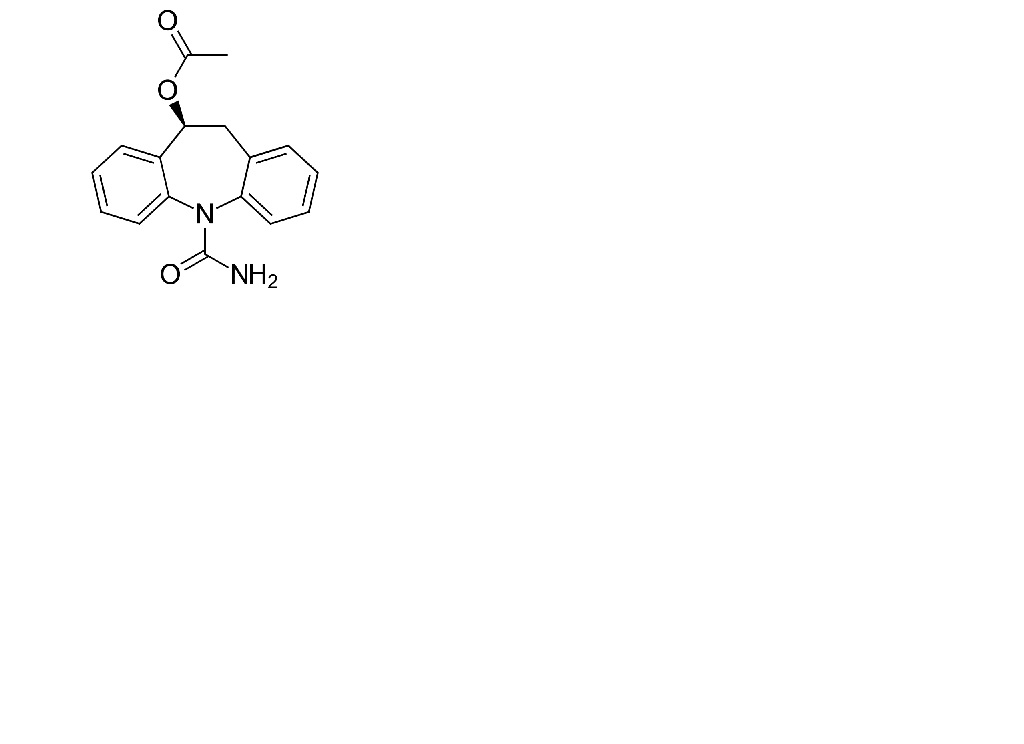
   Kemiallinen rakenne  

Oraaliliuos

Tekijät, jotka vaikuttavat stabiliuteen   Oraaliliuos   Tekijät, jotka vaikuttavat stabiliuteen : Eslicarbazepine acetate        
ei tietoa

  Mentions Légales