Ostatnia aktualizacja :
27/01/2026
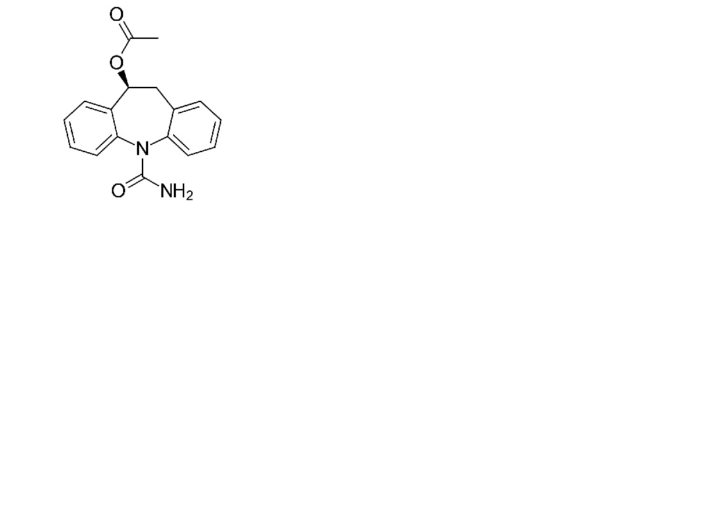
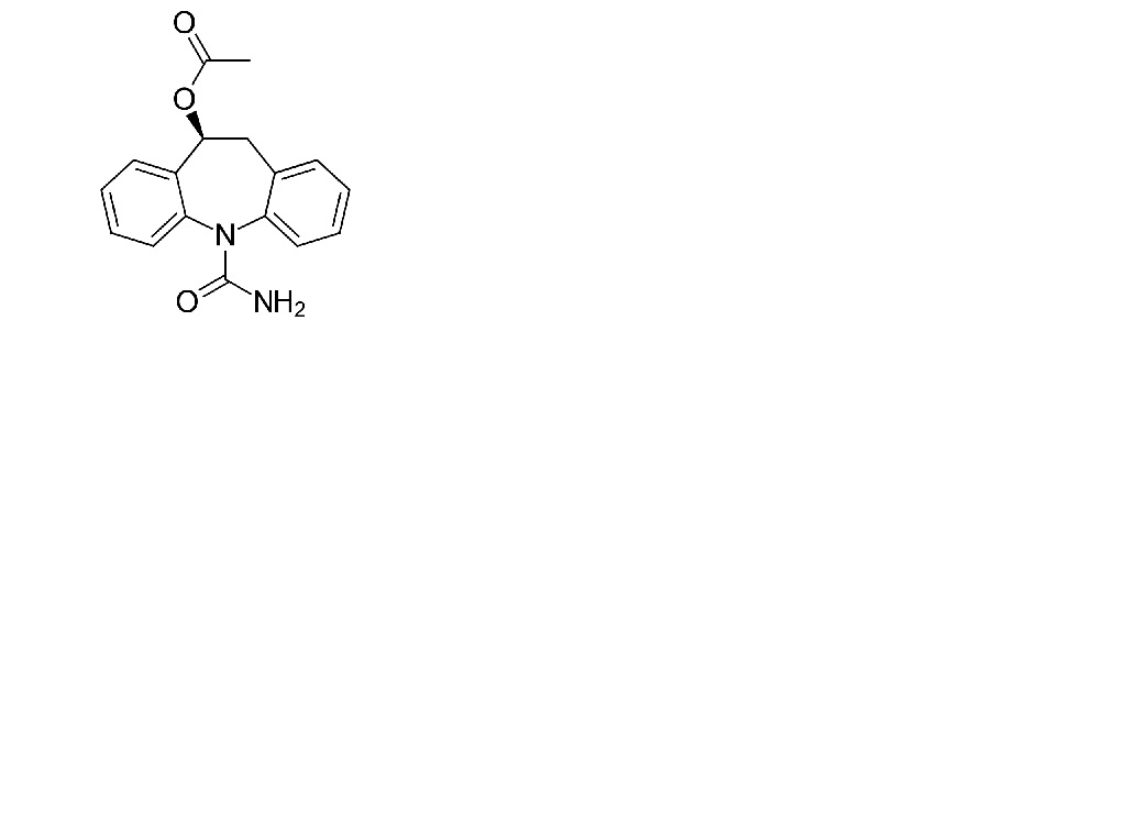
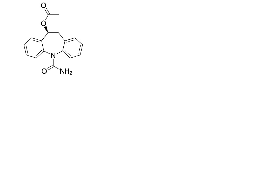
środek przeciwpadaczkowy   Eslicarbazepine acetate  
Roztwór doustny
Stabilność preparatów farmaceutycznych Trwałość w mieszaninie Czynnik wpływający na trwałość Zgodność Bibliografia pdf
   Struktura chemiczna  

Roztwór doustny

Czynnik wpływający na trwałość   Roztwór doustny   Czynnik wpływający na trwałość : Eslicarbazepine acetate        
Brak danych

  Mentions Légales