viimane versioon :
27/01/2026
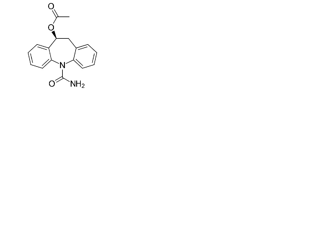
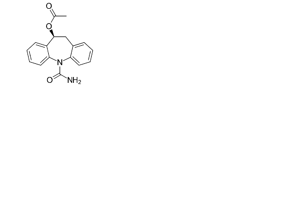
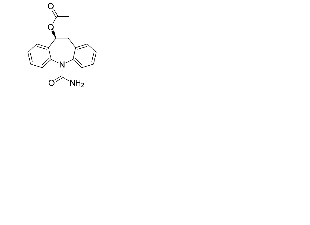
antiepileptikum   Eslicarbazepine acetate  
suukaudne lahus
Stabiilsust ravimpreparaadid Stabiilsust mõjutavad tegurid stabiilsust mõjutavad faktorid Sobimatus Viited pdf
   keemiline struktuur  

suukaudne lahus

stabiilsust mõjutavad faktorid   suukaudne lahus   stabiilsust mõjutavad faktorid : Eslicarbazepine acetate        
andmed puuduvad

  Mentions Légales